本文件主要涵盖了“GB12268-2025危险货物品名表”相关内容,关于更多实验室建设问题可来电咨询,天元世纪竭诚为您服务!

前 言
本文件按照GB/T 1.1—2020《标准化工作导则 第1部分:标准化文件的结构和起草规则》的规定起草 。
本文件代替 GB 12268—2012《危险货物品名表》,与GB12268—2012 相比,除结构调整和编辑性改 动外,主要技术变化如下:
一更改了适用范围(见第1章,2012年版的第1章);
一更改了术语和定义(见第3章,2012年版的第3章);
一更改了危险货物分类的部分内容(见4.1,2012年版的4.1、4.2、4.4);
一增加了危险货物品名表包含范围的说明(见4.2);
一删除了混合物或溶液分类的相关要求(见2012年版的4.3.2);
一增加了UN 0510~UN 0513、UN 3496~UN 3560共69个条目,删除了 UN 1169条目(见 表1,2012年版的表1);
一更改了危险货物品名表结构,第(6)栏更改为“包装类别”,增加了第(8)栏“有限数量”、第(9)栏 “例外数量”、第(10)栏包装和中型散装容器“包装指南”、第(11)栏包装和中型散装容器“特殊 包装规定”、第(12)栏可移动罐柜和散装容器“指南”、第(13)栏可移动罐柜和散装容器“特殊规 定”,修改后的危险货物品名表共13栏(见5.1,2012年版的第5章);
一增加了类属或“未另作规定的”危险货物名称的规定(见5.2);
一更改了特殊规定部分技术内容(见5.3、附录A,2012 年版的4.6、附录 B);
一增加了包装的基本要求(见第6章);
一更改了类属和未另作规定的危险货物正式运输名称一览表部分技术内容,调整为资料性附录 (见附录 B,2012 年版的附录A)。
本文件与联合国《关于危险货物运输的建议书 规章范本》(第23修订版)的有关技术内容一致。
请注意本文件的某些内容可能涉及专利。本文件的发布机构不承担识别专利的责任。
本文件由国家市场监督管理总局提出并归口。
本文件及其所代替文件的历次版本发布情况为:
—1990年首次发布为 GB 12268—1990,2005年第一次修订,2012年第二次修订;
一本次为第三次修订。
危 险 货 物 品 名 表
1.范围
本文件规定了危险货物品名表的一般规定、结构和内容、包装的基本要求。
本文件适用于危险货物运输及相关活动。
本文件不适用于水路散装运输的危险货物。
2.规范性引用文件
下列文件中的内容通过文中的规范性引用而构成本文件必不可少的条款。其中,注日期的引用文 件,仅该日期对应的版本适用于本文件;不注日期的引用文件,其最新版本(包括所有的修改单)适用于 本文件。
GB 190 危险货物包装标志
GB 6944—2025 危险货物分类和品名编号
GB 19269 公路运输危险货物包装检验安全规范
GB 19270 水路运输危险货物包装检验安全规范
GB 19359 铁路运输危险货物包装检验安全规范
GB 19432 危险货物大包装检验安全规范
GB 19433 空运危险货物包装检验安全规范
联合国《关于危险货物运输的建议书 规章范本》(第23修订版)
联合国《试验和标准手册》(第8修订版)
3.术语和定义
GB 6944—2025及联合国《关于危险货物运输的建议书 规章范本》(第23修订版)(以下简称《规章范本》)界定的以及下列术语和定义适用于本文件。
3.1 正式运输名称 propershipping name
在危险货物运输中,用于标识危险货物特性和分类的名称。
注:在水路运输相关法规也称“正确运输名称”。
3.2 货物运输装置 cargo transportunit
公路运输的罐体和货车、铁路运输的罐体和货车、多式联运的货运集装箱或可移动罐柜,或多单元 气体容器统称。
注:也称“货物运输单元”。
4.一般规定
4.1 危险货物按其危险性分为9类,其分类和品名编号应符合 GB6944—2025 的规定。
4.2 危险货物品名表列出了最常运输的危险货物,危险货物品名表按表1规定。
注:危险货物品名表没有列入那些过于危险,除经特别批准否则禁止运输的危险货物。
4.3 危险货物品名表的每个条目都对应一个编号,该编号采用联合国编号。危险货物品名表的条目包 括以下四类。
a)“单一”条目适用于意义明确的物质或物品。
示例1:
UN 1090丙酮
UN 1194亚硝酸乙酯溶液
b)“类属”条目适用于意义明确的一组物质或物品。
示例2:
UN 1133黏合剂,含有易燃液体
UN 1266香料制品,含易燃溶剂
UN 2757 固态氨基甲酸酯农药,毒性
UN 3101液态 B 型有机过氧化物
c)“未另作规定的”特定条目适用于一组具有某一特定化学性质或特定技术性质的物质或物品。
示例3:
UN 1477 无机硝酸盐,未另作规定的
UN 1987醇类,未另作规定的
d)“未另作规定的” 一般条目适用于一组符合一个或多个类别或项别标准的物质或物品。
示例4:
UN 1325有机易燃固体,未另作规定的
UN 1993易燃液体,未另作规定的
4.4 货物的固有不稳定性可能以不同的危险形式出现,例如爆炸、聚合、伴随着大量热量的释放,或排 放有毒气体。对于大多数危险物质,这种不稳定性能够通过正确的包装、稀释、冷冻、添加抑制剂或稳定 剂或其他预防措施加以控制。
4.5 危险货物应按照危险货物品名表的规定进行运输,并应按照危险货物品名表中适合该物质或物品 的名称标示。未列出具体名称的危险货物,应首先明确其危险性,并确定其最恰当的正式运输名称 后,使用“类属”或“未另作规定的”条目标示。
4.6 水路、空运、铁路、公路等运输方式特殊规定还应满足其相关行业法规要求。
5.结构和内容
5.1 危险货物品名表的结构和内容
5.1.1 第(1)栏
第(1)栏“联合国编号”,即根据联合国分类制度给危险货物划定的系列编号(号码)。
5.1.2 第(2)栏
5.1.2.1 第(2)栏“名称和说明”,其中危险货物中文正式运输名称用黑体字(加上构成名称一部分的数 字、希腊字母、仲、叔、间、正、邻、对等)表示;备用中文正式运输名称写在主要正式运输名称之后括号 内,如环三亚甲基三硝胺(旋风炸药,黑索今,RDX); 附加中文说明用宋体字表示,不必视为正式运输名 称的一部分,但可以使用。如存在相同分类的异构体,可在中文正式运输名称后加“类”表示。
5.1.2.2 如几种明显不同的正式运输名称合并列在一个 UN 编号之下,由中文宋体字“或”、顿号断开 时,在运输单据或包装件标记上只需写明最合适的名称。该条目正式运输名称的选择举例说明如下。
a)UN 1057 打火机或打火机充装装置,装有易燃气体,其正式运输名称是下列组合中最恰当的: 打火机
打火机充装装置
b)UN 2793 黑色金属的镗屑、刨屑、旋屑或切屑,易自热,其正式运输名称是下列组合中最恰 当的:
黑色金属的镗屑
黑色金属的刨屑
黑色金属的旋屑
黑色金属的切屑
5.1.2.3 附加中文说明中“%”符号代表含义如下。
a)如果是固体或液体混合物以及溶液和用液体湿润的固体,为根据混合物、溶液或湿润固体的总 质量计算的质量分数。
b)如果是压缩气体混合物,按压力装载时,为占气体混合物总体积的体积分数;按质量装载 时,为占混合物总质量的质量分数。
c)如果是液化气体混合物和加压溶解的气体,为占混合物总质量的质量分数。
5.1.3 第(3)栏
第(3)栏“英文名称和说明”,其中危险货物英文正式运输名称用大写字母(加上任何数字,希腊字母 ,sec-,tert- 和字母m-,n-,o-,p- 等表示;备用英文正式运输名称写在主要正式运输名称之后括号 内,如 ETHANOL(ETHYL ALCOHOL);附加英文说明,用小写字母表示。如存在相同分类的异构 体,英文正式运输名称可用复数表示。
5.1.4 第(4)栏
第(4)栏“类别或项别”,为危险货物的主要危险性,其中第1类危险货物还包括其所属的配装组,危 险货物的类别或项别及爆炸品配装组划分按GB6944—2025 确定。
5.1.5 第(5)栏
第(5)栏“次要危险性”,为除危险货物主要危险性以外的其他危险性的类别或项别,按 GB 6944— 2025确定。
5.1.6 第(6)栏
第(6)栏“包装类别”,为按GB 6944—2025划分的包装类别。
5.1.7 第(7)栏
第(7)栏“特殊规定”,列出了与物质或物品有关的特殊要求。特殊规定适用于允许用于该物质或物 品的所有联合国包装类别。
5.1.8 第(8)栏
第(8)栏“有限数量”,规定了按有限数量运输要求确定的每件内包装或物品所装的最大数量危险货 物,见5.4.
5.1.9 第(9)栏
第(9)栏“例外数量”,规定了按例外数量运输要求确定的每件内包装和外包装可运输危险货物的 编码,见5.5。
5.1.10 第(10)栏
第(10)栏包装和中型散装容器“包装指南”,规定了可用于运输物质和物品的包装方式(包括中型散 装容器和大型包装),采用 P 、IBC 、LP 加数字编码表示:
a)字 母“P” 加数字编码表示中型散装容器和大型包装以外包装的包装指南,见《规章范本》6.1、 6.2或6.3,相应的包装指南见《规章范本》4.1.4.1;
b)字 母“IBC” 加数字编码表示中型散装容器的包装指南,见《规章范本》6.5,相应的包装指南见 《规章范本》4.1.4.2;
c)字 母“LP”加数字编码表示大型包装的包装指南,见《规章范本》6.6,相应的包装指南见《规章范 本》4.1.4.3;
d)当本栏为 N/A 时,表示该物质或物品不需要包装;
e)当未列出具体编码时,表明该物质不准装入按照标有该编码的包装指南可以使用的那一类型包装。
5.1.11 第(11)栏
第(11)栏包装和中型散装容器“特殊包装规定”,规定了适用于包装(包括中型散装容器、大型包装) 的特殊要求,采用PP 、B 、L 加数字编码表示:
a)“PP” 加数字编码适用于中型散装容器和大型包装以外的包装,见《规章范本》4.1.4.1;
b)“B” 加数字编码适用于中型散装容器,见《规章范本》4.1.4.2;
c) "L" 加数字编码适用于大型包装,见《规章范本》4.1.4.3.
5.1.12 第(12)栏
第(12)栏可移动罐柜和散装容器“指南”,规定了使用可移动罐柜和散装容器运输物质的要求,采用T 、BK加数字编码表示:
a)字 母“T”加数字编码表示可移动罐柜运输物质所要求的罐体类型,见《规章范本》4.2.5;
b)字 母“BK” 加数字编码表示散装货物运输使用的散装容器类型,见《规章范本》6.8;
c)允许用多单元气体容器运输的气体,在 P200 包装指南的“多单元气体容器”栏内标明,见《规章 范本》1.4.1。
5.1.13 第(13)栏
第(13)栏可移动罐柜和散装容器“特殊规定”,列出了用于可移动罐柜运输物质时的所有特殊要 求,采用字母“TP” 加数字编码表示,见《规章范本》4.2.5.3.
5.2 类属或“未另作规定的”危险货物的正式运输名称
5.2.1 技术名称或化学名称
在危险货物品名表第(7)栏中注明了特殊规定274或318的“类属”或“未另作规定的”的正式运输 名称,应附加技术名称或化学名称,除非国家法律或国际公约因为它是受管制的物质而禁止其透露。对 于第1类爆炸物,危险货物说明可以附加表明商品名称的说明文字。技术名称和化学名称,应写在正式 运输名称后的圆括号内,也可以使用适当的限定词如“含有”,或其他限定词如“混合物”“溶液”等,以及 技术成分的化学成分含量。例如:"UN 1993 易燃液体,未另作规定的(含有二甲苯和苯),3,包装类别 Ⅱ”。
注:技术名称为科学技术手册、杂志和教科书中目前使用的公认的化学或生物学名称,或其他名称,而非商业名称。 关于农药,需使用国际标准化组织(ISO)规定的通用名称、《世界卫生组织建议的农药按危险性的分类和分类 准则》中的其他名称或有效成分物质的名称。
5.2.2 危险货物的混合物或含有危险货物的物品的正式运输名称
当一种危险货物的混合物或含有危险货物的物品在危险货物品名表中注明“未另作规定的”或“类 属”,并含特殊规定274时,需要标出的构成混合物或物品危险性的最重要成分不多于两个,但不包括本 国法律或国际公约禁止透露的受管制物质在内。如果装有混合物的包装件贴有任何次要危险性标 签,则在括弧内的两个技术名称之一应是要求使用次要危险性标签的成分名称。
对于这类“未另作规定的”条目,如何选择正式运输名称并以货物技术名称补充,举例说明如下:
a)UN 2902 液态农药,毒性,未另作规定的(敌菌酮);
b)UN 3394 液态有机金属物质,发火,遇水反应(三甲基镓);
c)UN 3540含有易燃液体的物品,未另作规定的(吡咯烷)。
5.3 特殊规定的要求
物质或物品在数量、状态、包装、运输条件等不同情况下危险性有所不同,有关这些危险货物的特殊 规定按附录 A执行,类属或未另作规定的危险货物正式运输名称见附录 B, 现已划定可用容器装载的 自反应物质一览表见附录 C,现已划定可用容器装载的有机过氧化物一览表见附录 D,感染性物质示例 见附录 E。
5.4 有限数量的要求
危险货物以有限数量运输时,其数量限制应满足危险货物品名表“有限数量”栏的要求,不准许按照 有限数量运输的危险货物,用“0”表示。
5.5 例外数量的要求
危险货物以例外数量运输时,其数量限制应满足危险货物品名表“例外数量”栏的要求,例外数量用 E0~E5 编码表示,其内包装、外包装的最大净装载量按表2规定。

6.包装的基本要求包装应满足GB 190 、GB 19269 、GB 19270 、GB 19359 、GB 19432 、GB 19433等相关国家标准、行业标准的要求。








































































































































































































































































































































































附 录 A
(规范性)
适用于某些物质或物品的特殊规定
对于危险货物品名表“特殊规定”一栏列出与物质或物品有关的特殊规定时,该规定的意义和要求 说明如下。
16.新的或现有的爆炸性物质或物品样品,用以进行试验、分类、研究和发展、质量控制或作为商业样品 进行运输的,应按照有关主管部门的规定运输。未湿润或未减敏的爆炸品样品,应装入有关主管部门规 定的小包装件,质量限制在10 kg内。湿润的或减敏的爆炸品样品,质量限制在25 kg内 。
23.虽然这种物质有易燃危险,但这种危险只是在满足密闭区内有猛烈火烧的条件时才显示出来。
26.这种物质大量运输时可能引发爆炸,因此不准许用便携式罐体或容量超过450 L的中型散装容器 运输。
28.这种物质可按第3类或4.1项危险货物的相关要求运输,条件是其包装应保证稀释剂的百分率在 运输过程的任何时候都不低于对应条目所规定的百分率(见《规章范本》2.3.1.4和2.4.2.4)。如果没有 注明稀释剂,对该物质的包装应确保爆炸性物质的数量不超过注明的数值。
29.这种物质可不贴标签,但应标明危险性类别或项别。
32.这种物质呈任何其他形状时,不受本文件限制。
37.这种物质如有涂层,不受本文件限制。
38.这种物质如含碳化钙不大于0.1%,不受本文件限制。
39.这种物质如含硅低于30%或不低于90%,不受本文件限制。
43.作为农药托运时,应在有关农药的条目之下,按有关农药的规定运输。(见《规章范本》2.6.2.3和 2.6.2.4)
45.锑的硫化物和氧化物,如按总质量计算的含砷量不大于0.5%,不受本文件限制。
47.铁氰化合物和亚铁氰化合物不受本文件限制。
48.这种物质如含氰氢酸大于20%,除非经有关主管部门特别批准,否则禁止运输。
59.这种物质如含镁不大于50%,不受本文件限制。
60.这种物质如浓度大于72%,除非经有关主管部门特别批准,否则禁止运输。
61.作为正式运输名称之补充的技术名称,见5.2.1。
62.这种物质如含氢氧化钠不大于4%,不受本文件限制。
63.第2类的具体项别和次要危险性由气雾剂内装物的性质决定。应适用下列规定。
a)如内装物按质量含85%或以上的易燃物成分,且化学燃烧热在30kJ/g或以上,即适用2.1项。
b)如内装物按质量含1%或以下的易燃物成分,且燃烧热不到20 kJ/g, 即适用2 .2项。
c)否则,应按联合国《试验和标准手册》第三部分31规定的试验,经过试验分类。极为易燃和易 燃性气雾剂,应列入2.1项;非易燃剂列入2.2项。
d)2.3项的气体不得用作气雾剂的推进剂。
e)如气雾剂喷射出来的推进剂以外的内装物被归类为6.1项(包装类别Ⅱ或Ⅲ)或第8类(包装 类别Ⅱ或Ⅲ),则气雾剂具有6.1项或第8类次要危险性。
f)其内装物的毒性或腐蚀性符合包装类别 I 标准的气雾剂禁止运输。
g)空运可能要求贴次要危险性标签。
易燃成分包括《试验和标准手册》第三部分31.1.3注1~注3中规定的易燃液体、易燃固体,或易燃 气体和气体混合物。不包括发火、自热或遇水反应物质。
注:确定化学燃烧值应选用ISO 13943或相关等效方法。
65.过氧化氢水溶液如含过氧化氢少于8%,不受本文件限制。
66.一硫化汞不受本文件限制。
103.禁止运输亚硝酸铵以及铵盐和无机亚硝酸盐的混合物。
105.符合 UN 2556或 UN 2557规定的硝化纤维素可划归4.1项。
106.仅在空运时受本文件限制。
113.化学性质不稳定的混合物禁止运输。
117.仅在海运时受本文件限制。
119.制冷机包括专门为在内隔间低温保存食品或其他物品设计的机器或器具,以及空调装置。制冷机 和制冷机部件如所包含的2.2项气体少于12 kg或包含的氨溶液(UN 2672)少于12 L,不受本文件 限 制 。
122.现已划定的有机过氧化物,其配制品的次要危险性、控制温度和危急温度(如有)、类属条目联合国 编号见附录D,及《规章范本》4.1.4.2、包装指南 IBC520 和4.2.5.2.6可移动罐柜导则T23.
123.仅在空运或海运时受本文件限制。
127.其他惰性材料或惰性材料混合物可由有关主管部门确定是否适用本条目,前提条件是该惰性材料 具有同样的减敏性质。
131.减敏物质的敏感度应明显低于干的季戊炸药。
132.在运输过程中,这种物质应避免阳光直射,并贮存在阴凉、通风的场所,远离一切热源。
133.如在包装中受到过度封闭,这种物质可能会表现出具有爆炸性。根据《规章范本》包装指南 P409 批准使用的包装,是为了防止受到过度封闭。当原产国有关主管部门根据《规章范本》4.1.3.7批准使用 包装指南 P409 规定以外的其他包装时,包装件应加贴“爆炸物”次要危险性标签(1号式样,见《规章范 本》5.2.2.2.2),除非因试验数据证明该包装中的物质不呈现爆炸性,原产地国有关主管部门允许对使用 的具体包装免贴这一标签(见《规章范本》5.4.1.5.5.1)。在这种情况下,也应符合《规章范本》7.1.3.1的 规 定 。
135.二氯异氰脲酸的二水合钠盐不符合列入5.1项的标准,因此不受本文件限制,除非符合列入另一 类别或项别的标准。
138.对溴苄基氰不受本文件限制。
141.经过充分热处理使其在运输期间不呈现任何危险性的产品,不受本文件限制。
142.采用溶剂提取过油的大豆粗粉,若含油不超过1.5%、含水不超过11%,且基本上不含有易燃溶剂 时,不受本文件限制。
144.按体积含酒精不超过24%的水溶液,不受本文件限制。
145.除空运外,包装类别Ⅲ的酒精饮料如采用不超过250 L 的容器装运,不受本文件限制。
146.除空运和海运外,包装类别Ⅱ的酒精饮料如采用不超过5L 的容器装运,不受本文件限制。
152.这种物质的分类随粒径大小和包装不同而异,但尚未通过试验掌握分界线。适当的分类应按《规 章范本》2.1.3中的分类程序进行。
153.本条目仅适用于下述物质:经试验证明,该物质与水接触时既不燃烧,也不表现自发引燃的倾 向,并且析出气体混合物是不易燃的。
163.在表1中以名称具体列出的物质不得按本条目运输。按本条目运输的物质可含有不超过20%的 硝化纤维素,但硝化纤维素的含氮量按干重计算不得超过12.6%。
168.如石棉浸没或固定于天然或人造黏合剂(如水泥、塑料、沥青、树脂或矿石)中,从而在运输过程中 不会有危险数量的可吸入石棉纤维逸出,不受本文件限制。含有石棉又未达到上述要求的制成品,如其 包装做到在运输过程中不会有危险数量的可吸入石棉纤维逸出,不受本文件限制。
169.固态邻苯二甲酸酐和四氢化邻苯二甲酸酐如含马来酸酐不超过0.05%,不受本文件限制。熔融邻 苯二甲酸酐如温度高于其闪点且含马来酸酐不超过0.05%,应划入 UN 3256。
172.具有次要危险性的放射性物质应:
a)根据其占主导的次要危险性适用的包装类别标准,酌情将其划为包装类别 I、 包装类别Ⅱ或包 装类别Ⅲ;
b)包装件应贴有与物质所显示的每一种次要危险性相对应的次要危险标签;对应的菱形标志牌 应按照《规章范本》5.3.1的有关规定,贴在运输装置上;
c)在运输单据或包装件标记上,除正式运输名称外,还应在括号中补充说明对构成次要危险性起 最大作用的成分名称;
d)危险货物运输单据应标明次要危险性的类别或项别,如已经划定包装类别,也应根据《规章范 本》5.4.1.4.1(d) 和(e)的要求标出。
包装要求见《规章范本》4.1.9.1.5.
177.硫酸钡不受本文件限制。
178.只有在表1中未列明其他适当名称时,并且经有关主管部门批准后,方可使用本条目。
181.装有本条目物质的包装件应贴“爆炸品”次要危险性标签(1号式样,见《规章范本》5.2.2.2.2)。除 非由试验数据证明该物质装在该容器里不呈现爆炸性,经有关主管部门准许可不贴这种标签,但应在危 险货物运输票据中注明。还应符合《规章范本》7.1. 3.1的规定。
182.碱金属包括锂、钠、钾、铷和铯。
183.碱土金属包括镁、钙、锶和钡。
188.交付运输的电池如满足下列要求,不受本文件其他规定限制。
a)对于锂金属电池芯或锂合金电池芯,锂含量不超过1g,对于锂离子电池芯或钠离子电池芯,瓦 特小时的额定值不超过20Wh。
b)对于锂金属电池组或锂合金电池组,合计锂含量不超过2 g;对于锂离子电池组或钠离子电池 组,瓦特小时的额定值不超过100Wh。 受本文件限制的锂离子电池组或钠离子电池组,须在 外壳上标明瓦特小时的额定值,2009年1月1日前制造的锂离子电池组除外。
c)每个锂离子电池芯或电池组均符合 GB 6944—20255.9.4a)、e)、f)(如适用)和 g)的规定;海个 钠离子电池或电池组均符合 GB 6944—20255.9.5a)、e)、f)的规定。
d)电池芯和电池组,除安装在设备上之外,应使用内包装予以包装,将电池芯和电池组完全包裹。 应保护电池芯和电池组防止发生短路。这包括防止在同一包装内与导电材料接触,导致发生 短路。内包装应放在符合《规章范本》4.1.1.1、4.1.1.2和4.1.1.5规定的坚实外包装内。
e)安装在设备上的电池芯和电池组,应防止受到损害和发生短路,设备应配备防止发生意外启动 的有效装置。本项要求不适用于特意在运输过程中工作的装置(无线电射频识别发射器、手 表、感应器等),且不会产生危险的热量。当电池安装在设备上时,设备应用坚实的外包装予以 包装,包装的制造应采用足够强度的适当材料,设计也与包装的容量和用途相符,除非安装电 池的设备对之已有相当的保护。
f)每个包装件都应按《规章范本》5.2.1.9所示,做上相应的锂电池或钠电池标记。
注:按照国际民用航空组织《危险物品安全航空运输技术细则》第4部分第11章第IB节包装指南965或968规定 包装的含有锂电池的包装件,如有《规章范本》5.2.1.9(锂电池标记)所示标记和《规章范本》5.2.2.2.2式样9A 所示标签,应被视为符合本特殊规定。
这项要求不适用于以下情况:
1)包装件内只有安装在设备上(包括电路板上)的纽扣电池;
2)包装件内只有不超过4个安装在设备上的电池芯或两个电池组,每批货物的包装件不超 过两个。
包装件置于集合包装内时,锂电池标记应清楚易见,或印在集合包装外侧,而集合包装应标 明“OVERPACK (集合包装)”。“OVERPACK (集合包装)”标记的字样高度应至少12 mm。
g)除安装在设备上的电池外,每个包装件以任何方向进行1.2m 跌落试验时都能够不使其中所 装的电池受损,不造成内装物移动,以致电池组与电池组(或电池芯与电池芯)互相接触,并且 没有内装物释出;
h)除非电池安装在设备上或与设备包装在一起,否则包装件总重不得超过30 kg。
本文件上文及其他地方使用的“锂含量”,是指锂金属或锂合金电池阳极中锂的质量。在本特 殊规定所用“设备”一词,是指由锂电池或电池组作为工作电源的装置。
锂金属电池和锂离子电池条目单列,是为了方便使用具体运输方式运输这类电池,也便于采取不同 的应急反应行动。
符合《试验和标准手册》第三部分38.3.2.3定义的单体电池,视为“电池芯”,在本特殊规定中按对 “电池芯”的要求运输。
190.气雾剂应有防意外排放的保护装置。仅装有无毒性成分且容量不超过50 mL 的气雾剂,不受本 文件限制。
191.装有气体的小型贮器,不带释放装置。仅装有无毒性成分且容量不超过50 mL 的贮器,不受本文 件限制。
193.本条目仅可用于硝酸铵基复合化肥。这类化肥应按照《试验和标准手册》第三部分39规定的程序 分类。符合本联合国编号标准的化肥,仅在空运或海运时受本文件限制。
194.现已划定的自反应物质的控制温度和危急温度(如果适用)以及类属条目联合国编号见附录 C。
195.对于某些 B 型或 C 型有机过氧化物,须使用比包装方法 OP5 或 OP6 允许的更小的包装(见《规章 范本》4.1.7和2.5.3.2.4)。
196.配制品如在实验室试验中既不在空化状态下起爆也不爆燃,在封闭条件下加热也不显示危险效应 并且不显示爆炸力,可在本条目下运输;配制品也应是热稳定的(即50 kg包装件的自加速分解温度等 于或高于60℃)。不符合上述要求的配制品应根据5.2项危险货物的规定运输,见《规章范本》2.5.3.2.4.
198.硝化纤维素含量不超过20%的硝化纤维素溶液,可视情况作为涂料、香料产品或印刷油墨运输。 见 UN 1210、UN 1263、UN 1266、UN 3066、UN 3469和 UN 3470。
199.铅化合物如以1:1000的比例与0 .07 mol 的氢氯酸混合并在23℃±2℃的温度下搅拌1h,呈 现的溶解率为5%或更低(见 GB/T 3184),则视作不溶解的,不受本文件限制,除非其满足列入其他危 险类别或项别的标准。
201.打火机和打火机充装装置应符合其充装时所在国家的相关规定,且应具备防意外泄漏的保护装 置。气体的液化部分不得超过贮器容量的85%(15℃时)。贮器(包括封闭装置)应能够承受两倍于液 化石油气压力(55℃时)的内压。阀门装置和点火装置应牢固密封、缚好或以其他方式关紧,或其设计 能防止在运输期间装置被起动或者防止油气泄漏。打火机装的液化石油气不得超过10g。 打火机充装 装置装的液化石油气不得超过65 g。
203.本条目不得用于联合国编号为 UN 2315的多氯联苯。
204.物品含有生烟物质,根据第8类的分类标准具有腐蚀性,应贴有“腐蚀性”次要危险性标签(8号式 样,见《规章范本》5.2.2.2.2)。物品含有生烟物质,根据6.1项的分类标准具有吸入毒性,应加贴“毒性“ 次要危险性标签(式样6.1,见《规章范本》5.2.2.2.2)。
205.本条目不得用于联合国编号为 UN 3155的五氯苯酚。
206.本条目不包括高锰酸铵,高锰酸铵应禁止运输,除非得到有关主管部门的特别批准。
207.塑料成型化合物可以是由聚苯乙烯、聚(甲基丙烯酸甲酯),或其他聚合物质制成。
208.商品级的硝酸钙化肥,当其成分主要是复盐(硝酸钙和硝酸铵),且硝酸铵的含量不超过10%且含 有不少于12%的结晶水时,不受本文件限制。
209.气体的压力应与密封系统关闭时的环境大气压力相等,绝对压力不得超过105 kPa。
210.从含有感染性物质的植物、动物或细菌来源提取的毒素,或包含在感染性物质中的毒素,应划入6.2项。
215.本条目仅适用于自加速分解温度高于75℃的工业纯物质或其配制品,不适用于自反应物质的配 制品。自反应物质见附录C 。偶氮二甲酰胺含量按质量不超过35%,且含惰性物质至少65%的同质混 合物不受本文件限制,除非其满足其他类别或项别的标准。
216.不受本文件限制的固体和易燃液体的混合物可在本条目下运输,而无须先适用4.1项的分类标 准,但在装货时,或者在包装或运输装置关闭时应无可见的游离液体。作为散装容器使用时,每个货物 运输装置应防漏。被固态物质吸收的包装类别Ⅱ或包装类别Ⅲ易燃液体的密封小包装件和物品,如易 燃液体含量小于10mL,且小包装件或物品内无游离液体,不受本文件限制。
217.不受本文件限制的固体和毒性液体的混合物可在本条目下运输,而无须先适用6.1项的分类标 准,但需满足在装货时,或者在包装或运输装置关闭时应无可见的游离液体。作为散装容器使用时,每 个货物运输装置应防漏。本条目不得用于含有包装类别 I 液体的固体。
218.不受本文件限制的固体和腐蚀性液体的混合物可在本条目下运输,而无须先适用第8类的分类标 准,但需满足在装货时,或者在包装或运输装置封闭时应无可见的游离液体。作为散装容器使用时,每 个货物运输装置应防漏。
219.按照《规章范本》包装指南 P904 包装和标记的转基因微生物(GMMOs) 和转基因生物(GMOs) 不 受本文件其他要求的限制。如果转基因微生物或转基因生物符合 GB 6944—2025有毒物质和感染性物质的定义,并且符合6.1项或6.2项的标准,应适用关于运输有毒物质或感染性物质的要求。
220.紧接在正式运输名称之后的括弧内,只须标出这种溶液或混合物中易燃液体成分的技术名称。
221.包装类别 I 的物质不得使用本条目。
223.本条目所包括的物质,如其化学或物理性质在试验时不符合表1中“类别或项别”一栏所列的类别 或项别,或者任何其他类别或项别的定义标准,不受本文件限制。
224.适用本条目的物质在正常运输条件下应保持液态,除非能够由试验证明在凝固状态下的敏感性不 高于其在液体状态下的敏感性。适用本条目的物质在温度高于-15℃时应不凝固。
225.本条目下的灭火器,可包括安装好的起动弹药筒(1.4C 或 1 . 4S项的动力装置用弹药筒),而无须 改变2.2项的分类,条件是每个灭火单元的爆燃(推进)炸药总量不超过3.2g 。 灭火器的制造、试验、批 准和标签,应符合生产国适用的规定。
注1:“生产国适用的规定”是指生产国适用的规定或在使用国适用的规定。
本条目的灭火器包括:
a)人工搬运和操作的便携式灭火器;
注2:即使便携式灭火器正常工作所必需的一些部件(例如软管和喷嘴)被暂时取下,但只要加压灭火剂容器的安 全不受影响,并且灭火器继续标为便携式灭火器,本条目便适用于便携式灭火器。
b) 安装在飞机上的灭火器;
c)由人工搬运的轮式灭火器;
d)轮式或安装在轮式平台或单元上的灭火设备或机器,运输方式类似于(小型)拖车;
e)由不带滚轮的压力桶和设备组成的灭火器,搬运时须使用叉车或吊车。
注3:装有用于上述灭火器或固定式灭火装置使用的气体的压力贮器,应满足《规章范本》6.2中的要求,如这些压 力贮器单独运输,还应满足对相关危险货物适用的所有要求。
226.此类物质的配制品含有不挥发、非易燃的减敏剂,且减敏剂含量不低于30%时,不受本文件限制。
227.当用水和无机惰性物质减敏时,硝酸脲的含量按质量不得超过75%,并且混合物在进行《试验和 标准手册》第一部分的系列1类型(a) 试验时不会起爆。
228.不符合2.1项易燃气体标准的混合物应按 UN 3163运输。
230.符合《规章范本》2.9.4规定的锂电池,可按本条目运输。符合《规章范本》2.9.5规定的钠离子电 池,可按本条目运输。
232.只有当物质不符合任何其他危险性类别或项别的标准时才可适用本条目。采用多式联运罐体以 外的货物运输装置运输时,应按照原产国有关主管部门规定的标准进行。
235.本条目适用于装有第1类爆炸性物质的物品,但其中也可能带有其他类别的危险货物。这类物品 用于提高车辆、船只或飞行器的安全性,如气囊气体发生器、气囊模件、安全带预拉装置或高温机械装 置等。
236.聚酯树脂器材包由两部分组成:基底材料(第3类或4.1项,包装类别Ⅱ或包装类别Ⅲ)和活化剂 (有机过氧化物)。有机过氧化物应是 D 型 、E 型或 F 型,不需要温度控制。包装类别应是包装类别Ⅱ 或包装类别Ⅲ 一根据对基底材料酌情适用第3类或4.1项标准。危险货物品名表第(8)栏中所列的 数量限制,适用于基底材料。
237.滤膜,包括运输时所用的分隔纸、覆盖或背衬材料等,在进行《试验和标准手册》第一部分试验系列 1(a) 试验时,应不易传播爆炸。
此外,有关主管部门可根据适当的燃烧速率试验结果,参考《试验和标准手册》第三部分33.2.1的 标准试验,确定该形态的硝化纤维素滤膜的运输形式,可不受本文件对4.1项易燃固体的限制。
238. a)电池如果能够经受下述的振动试验和压差试验而没有电池液泄漏,则可认为是不溢出的。
振动试验:电池牢固地夹在振动机平台上,施加振幅为0.8mm (最大总偏移1 .6mm) 的简谐 振动。频率在10 Hz~55 Hz之间按1 Hz/min 变化。在95 min±5 min对电池的各安装位 置(振动方向)来回施加全部振动频率范围。对电池的三个互相垂直的位置[包括注入孔和排 气孔(如有)的倒转位置]都进行相等时间的试验。
压差试验:在振动试验之后,将电池在24℃±4℃下存放6 h, 同时施加至少88kPa的压差。 对电池的三个互相垂直的位置[包括注入孔和排气孔(如有)的倒转位置]都进行至少6h 的 试验。
注:非溢漏型电池如果是机械或电子设备的组成部分并且是开动设备所必需的,则应固定在设备的电池座上并且 加以保护以防损坏和短路。
b)不溢出的电池,如果在温度55℃时电解液不会从裂开或有裂缝的外壳流出,没有游离液 体,而且在做运输包装时对电极作了防短路的保护,不受本文件限制。
239.电池不得含有钠、硫或钠的化合物(如多硫化钠和四氯铝酸钠)以外的危险货物。电池不得在电池 中仍有任何液态钠元素存在的温度下交付运输,除非得到有关主管部门批准并且按有关主管部门确定 的运输条件运输。
电池芯应包括把危险物完全封在里面的密闭金属外壳,其构造和封闭方式能够防止危险货物在正 常运输条件下释出。
电池组内的所有电池应固定并完全封闭在金属外壳中,其构造和封闭方式能够防止危险货物在正 常运输条件下释出。
241.配制品的配制方式应使它在运输过程中保持均匀不分离。硝化纤维素含量低的配制品如分别根 据《试验和标准手册》第一部分试验系列1(a) 、2(b) 和 2(c) 试验,其在规定的封闭条件下加热时起爆、爆 燃或爆炸的可能性时不显示危险性质,而且根据《试验和标准手册》第三部分33.2.4中的试验 N.1 进行 试验时,证明不是易燃固体(片屑在必要时压碎并筛滤至粒径小于1.25 mm), 不受本文件限制。
242.硫磺如做成某种形状(如小球、颗粒、丸状、锭状或薄片),不受本文件限制。
243.火花点火式发动机(如汽车发动机、固定发动机和其他发动机)使用的各种汽油和燃油,不论挥发 性如何,均划入本条目。
244.本条目包括铝浮渣、铝撇渣、废阴极、废锅衬和铝盐渣等。
装货前,这些副产品应冷却到环境温度,除非已经对之进行煅烧,除去水分。盛装散货的货物运输 装置应充分通风,在整个运输期间防止进水。
尽管《规章范本》4.3.2.2中已有规定,但内陆运输仍可使用帘布式散装容器(BK1)。
246.这种物质应按照《规章范本》OP6 包装方法包装。在运输过程中,应防阳光直晒,并且存放(或保存)在阴凉通风处,远离一切热源。
247.按体积含酒精24%~70%的酒精饮料如作为制造工序的一部分运输,可酌情装在容量250 L~500 L且符合《规章范本》4.1.1的木制琵琶桶中运输,但应符合下列条件:
a)木制琵琶桶在盛装之前应进行检查并紧固;
b)应留有足够的空隙(不少于3%),使液体有膨胀空间;
c)木制琵琶桶运输时桶口应朝上;
d)木制琵琶桶应放在符合要求的集装箱(见《1972年国际集装箱安全公约》)中运输。每个木制 琵琶桶应固定在专用的托架上并用适当方法楔住,以防在运输过程发生移动。
249.铁含量至少10%、进行过防腐蚀稳定处理的铈铁合金不受本文件限制。
250.本条目只能用于为进行与化学武器公约(见《关于禁止发展、生产、储存和使用化学武器及销毁此 种武器的公约》)执行情况有关的分析而提取的化学品样品。按本条目运输物质应依据禁止化学武器组 织规定的保管链和安全程序。
化学品样品只有经有关主管部门或禁止化学武器组织总干事事先批准并且该样品符合以下要求才 可以运输:
a)按照国际民用航空组织《危险物品安全航空运输技术细则》的包装规范623包装;
b)在运输过程中,随带运输批准书复印件,表明数量限制和包装要求。
251.“化学品箱或急救箱”条目,适用于装有少量不同危险货物的箱子或盒子,例如用于医疗、分析、试 验或修理等目的。
应仅装有下列危险货物:
a) 例外数量,不超过危险货物品名表第(9)栏中编码所示数量,并应符合5.5规定的每件内包装 的净装载量和每个包装件的净装载量;
b) 危险货物品名表第(8)栏所示有限数量,但每个内包装的净装载量不超过250 mL 或250 g.箱内各种成分之间不得相互发生危险反应(见《规章范本》4.1.1.6)。任何一个箱中的危险货物总量不得超过1L或1kg。
为填写《规章范本》5.4.1.4.1所列危险货物运输单据之目的,运输单据上所示包装类别应是为箱内 任何单一物质划定的最严格的包装类别。如果箱中只装有未划定包装类别的危险物品,则无须在危险 货物运输单据上显示包装类别。
为急救或手术目的而放在车辆上运输的箱子不受本文件限制。
如果化学品箱和急救箱所带的危险货物放在内包装中,数量不超过危险货物品名表第(8)栏对具体 物质规定的数量限制,可按照有限数量包装的危险货物运输。
252.硝酸铵热浓溶液允许在本条目下运输,条件是:
a)溶液中硝酸铵含量不超过93%;
b)溶液中的含水量不小于7%;
c)溶液中含有的可燃物质不超过0.2%;
d)溶液中含有氯化合物的量不会使氯离子含量超过0.02%;
e)25℃ 时该物质的10%水溶液的 pH 测定值在5~7之间;
f)溶液的最高准许运输温度为140℃。
除此之外,符合如下条件的硝酸铵热浓溶液不受本文件限制:
a)溶液含硝酸铵不超过80%;
b)硝酸铵溶液含可燃物质不超过0.2%;
c)硝酸铵在所有运输条件下都在溶液中;
d)溶液不满足任何其他类别或项别的标准。
266.这种物质如果所含的醇、水或减敏剂少于规定含量时,除非得到有关主管部门特别批准,否则不得运输 。
267.含有氯酸盐的任何 C 型爆破炸药应与含有硝酸铵或其他铵盐的爆炸品隔离。
270.5.1项无机固态硝酸盐物质的水溶液,如在运输过程中可能遇到的最低温度下,溶液中无机硝酸 盐浓度不超过饱和限度的80%,即被认为不符合5.1项的标准。
271.乳糖、葡萄糖或类似材料可以用作减敏剂,条件是该物质按质量含有不少于90%的减敏剂。有关 主管部门可根据对三个及以上准备好供运输行的《试验和标准手册》第一部分16试验系列6(c), 对至 少三个准备提交运输的包装件进行试验的结果,确定是否将这些混合物划入4.1项。按质量含减敏剂 至少98%的混合物不受本文件限制。装有按质量含减敏剂不少于90%的混合物,其包装件无须贴“毒 性”次要危险性标签。
272.除非得到有关主管部门特别批准,否则这种物质不得按4.1项的规定运输(参见 UN 0143或 UN 0150)。
273.添加防自热稳定剂的代森锰和代森锰制剂,如能通过试验证明体积1m³ 的物质不自行引燃,并且 当样品在24h 内保持在温度不低于75℃±2℃的条件下,样品中心的温度不超过200℃,就不需要划 入4.2项。
274.在运输单据或包装件标记上,正式运输名称后应附加技术名称(见5.2.1)。
类属或未另作规定的危险货物正式运输名称相关示例见附录 B。
仅就 UN 3077和 UN 3082而言,技术名称可以是危险货物品名表第(2)(3)栏中中文用黑体字(英 文用大写字母)表示的名称,除非该名称中没有列出“未另作规定的”,而且没有指定特殊规定274。应 使用最适合描述物质或混合物的名称,例如:
UN 3082 对环境有危害的液态物质,未另作规定的(涂料)
UN 3082 对环境有危害的液态物质,未另作规定的(香料制品)
276.本条目包括不属于任何其他危险性类别或项别但具有麻醉性、毒害性或其他特性(如在飞机上发 生溢出或外漏时可能造成机组人员烦躁或不适,以致不能正确执行任务)的物质。
277.对于装有毒性物质的气雾剂或贮器,有限数量数值是120 mL;其他气雾剂或贮器,有限数量数值 是1000 mL。
278.本条目物质的分类和运输,应由有关主管部门根据对准备好供运输的包装件进行《试验和标准手 册》第一部分的系列2各项试验和系列6(c) 试验的结果予以批准。有关主管部门应根据《规章范本》2.3 的标准及《试验和标准手册》第一部分系列6(c) 试验所用的包装件类型划定包装类别。
279.物质划入分类或包装类别所依据的是人类经验而不是《规章范本》所定分类标准的严格应用。
280.本条目适用于车辆、船舶或飞行器的安全装置,如气囊气体发生器、气囊模件、安全带预拉装置和 高温机械装置等,其中装有第1类或其他类别的危险货物,作为部件运输,并且这些物品在提交运输时 已按《试验和标准手册》第一部分的试验系列6(c) 进行过试验,结果显示装置没有爆炸、装置的外壳或 压力贮器没有碎裂,也没有可能严重妨碍在邻近处救火或其他应急行动的迸射危险或热效应。本条目 不适用于特殊规定296条规定的救生器材 (UN 2990和 UN 3072)或特殊规定407所述的灭火剂分散 装置(UN 0514和 UN 3559)。
281.用油浸湿、弄潮或沾染的干草、禾秆或碎稻草和稻壳禁止海运。其他方式的运输也应禁止,除非有 关主管部门特别批准。
未用油浸湿、弄潮或沾染的干草、禾秆或碎稻草和稻壳,仅在海运时受本文件限制。
283.装有气体、拟用作减震器的物品,包括撞击缓冲器或空气弹簧,不受本文件限制,但每一物品应符 合下列条件:
a)气隙容积不大于1.6L, 充气压力不超过280bar (1bar=0.1 MPa )气隙容积()和充气压力(bar)的乘积不大于80(即05L气隙和160bar 充气压力, 1L气 隙 和 8 0bar 充气压力,16L 气隙和50 bar充气压力,0.28L气隙和280 bar充气压力);
b)20℃时的最小爆裂压力:气隙容积不大于0.5L 的产品为充气压力的4倍,气隙容积大于0.5L 的产品为充气压力的5倍;
c)所用制造材料破裂时不会变成碎片;
d)按照有关主管部门可接受的质量保证标准制造;
e)设计型号已经过火烧试验证明物品通过火灼分解型密封装置或其他降压装置降低压力,因此 物品不会破裂,并且物品不会抛射。
284.含氧化性物质的化学氧气发生器应符合下列条件:
a)含有爆炸式启动装置的发生器,当满足下列条件而被排除于第1类之外时才可按本条目运输: 其中所含爆炸性物质的数量或特性,不会使其在运输过程中偶然或意外被点燃或引发后因迸 射、发火、冒烟、发热或巨响而在装置外部产生任何影响;
b)发生器在无包装的情况下应能耐受从1.8m 处以最易受损部位跌落在坚硬、无弹性、平坦的水 平表面上的试验,既不使内装物泄漏,也不造成启动;
c)有启动装置的发生器应有至少两种能防意外启动的有效装置。
286.本条目包括的硝化纤维素滤膜,如每片滤膜的质量不超过0.5 g 而且分别装在其他物品或密封小 包装件中,不受本文件限制。
288.这种物质不得进行分类和运输,除非有关主管部门根据对准备好供运输的包装件进行《试验和标 准手册》第一部分的系列2各项试验和系列6(c) 试验得出的结果予以批准。
289.装在车辆、船只或飞行器上,或装在方向盘轴、车门镶板、车座等成品部件内的电启动安全装置和 点火机械安全装置,不受本文件限制。
290.本条目放射性材料若符合其他类别或项别的定义和标准时,应根据以下条件分类。
a)当物质符合例外数量规定危险货物标准情况下,包装需符合《规章范本》3.5.2的规定,达到《规 章范本》3.5.3的试验要求。另外应满足《规章范本》1.5.1.5的要求。
b)如数量超过例外数量规定的限制,该物质应根据最主要的次要危险性分类。危险货物运输单 证应以适用于该类别的危险货物联合国编号和正式运输名称说明该物质,并须列出根据危险 货物品名表“名称和说明”栏适用于放射性例外包装件的名称,按适用于该危险货物联合国编 号的规定运输。危险货物运输单证应显示的信息举例如下:
UN 1993 易燃液体,未另作规定的(乙醇和甲苯混合物),放射性材料,例外包装件一材料 数量有限,第3类,包装类别Ⅱ;
此外,还应适用《规章范本》2.7.2.4.1的要求。
c)以有限数量包装的危险货物运输规定,不适用于根据 b)规定分类的物质。
d)如该物质满足特殊规定而使其免除其他类别危险货物相关规定的限制,则该物质应按第7类 的适用危险货物联合国编号分类,并应满足《规章范本》1.5.1.5的要求。
291.易燃液化气体应封装在制冷机部件内。这些部件的设计和试验压强应达到制冷机工作压强的至 少3倍。制冷机的设计和制造应能够盛装液化气体并使保压部件在正常运输条件下不会有爆裂或破裂 的危险。制冷机和制冷机部件所装的液化气体如少于12 kg,不受本文件限制。
293.适用于各种火柴的定义如下:
a)耐风火柴是火柴头用摩擦敏感的点火剂和燃烧火焰很小或无火焰但温度很高的烟火材料配制 的火柴;
b)安全火柴是与盒、册或卡结合或附在其上,只有在特别处理的表面上摩擦才能点燃的火柴;
c)可随处划燃火柴是在硬表面上摩擦可以点燃的火柴;
d)“维斯塔”蜡火柴是在特别处理的表面上或在硬表面上摩擦都可点燃的火柴。
294.安全火柴和“维斯塔”蜡火柴如按照《规章范本》包装指南 P407 包装、装在外容器中而且净重不超 过25 kg,除标记要求外,不受本文件的其他要求(标记除外)限制。
295.如果货盘贴有适当的标记和标签,则电池不需要单独作标记和贴标签。
296.适用于救生器材,如救生艇、单人漂浮装置和自动膨胀式滑板等。 UN 2990适用于自动膨胀式器 材 ,UN 3072适用于非自动膨胀式的救生器材。救生器材可包括。
a)信号装置(第1类),可包括发烟和照明信号装置;装在可防止被意外触发的容器内。
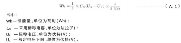
b)仅对 UN 2990而言,1.4项的弹药筒、动力装置,配装组 S,可作为自动膨胀装置的组成部分运 输,条件是每件器材的爆炸物质量不得超过3.2g。
c)2.2 项压缩或液化气体。
d)蓄电池(第8类)和锂或钠电池(第9类)。
e)急救箱或包括少量危险货物在内的维修箱(如第3类、第4 . 1项、第5 .2项,第8类或9类 物质);
f)“可随处划燃”的火柴,装在可防止不慎点燃的容器中。
装在坚固外包装中的救生器材,如满足以下条件,即不受本文件限制:最大总质量不超过40 kg,除 2.2项压缩气体或液化气体外不含其他危险货物,压缩或液化气体装在容量不超过120mL 的贮器 内,无次要危险性,安装的目的仅仅是为了启动救生器材。
299.托运的干棉花密度不低于360 kg/m³ (见 ISO 8115-1:2022),装在封闭的运输装置中的,不受本文 件限制。
300.鱼粉、鱼类下脚料和磷虾粉,如装货时温度超过35℃或高于周围环境温度5℃,不得运输。
301.本条目只适用于含有危险货物残余物的诸如机器、仪器或设备等物品,或者是危险货物作为其组 成部分的物品。本条目不得用于在危险货物品名表已有正式运输名称的物品。在本条目下运输的物品 只能装有允许根据有限数量的规定运输的危险货物。物品中的危险货物数量不得超过危险货物品名表 第(8)栏中对所装的每一项危险货物规定的数量。如果物品含有不止一项危险货物,这些货物单独封 闭,以防运输中相互之间发生危险反应(见《规章范本》4.1.1.6)。当需要确保液体危险货物保持在指定 方向时,应根据《规章范本》5.2.1.7.1,至少在两个相对的垂直侧面上标出方向标记,箭头指向正确方向。
对于按照本条目规定需运输的物品,有关主管部门可免除其适用的监管要求。
302.未装载其他危险货物的熏蒸过的货物运输装置,仅受到有关熏蒸装置票据和标志的规定限制(见 《规章范本》5.5.2)。
303.贮器应根据其中所充装的气体或气体混合物,按照 GB 6944—2025确定的项别和次要危险性(如 有)。
304.本条目只能用于运输含干燥氢氧化钾但未激活的电池,电池在使用前须向每个电池中加入适量的 水激活。
305.本条目物质如浓度不大于50 mg/kg, 不受本文件限制。
306.本条目只能用于根据《试验和标准手册》第一部分试验系列2进行试验时,显示因太不敏感而不能 划入第1类的物质。
307.本条仅可用于硝酸铵基化肥。这类化肥应按照《试验和标准手册》第三部分39分类。
308.鱼粉在生产过程中应有效使用乙氧基喹啉、丁基羟基甲苯(BHT)或生育三烯酚(也与艾菊提取物 混合使用)作稳定化处理,以防止发生自燃。应在装运前12个月内作此种处理。交运时,鱼屑或鱼粉应 至少含50 mg/kg 乙氧基喹、100 mg/kgBHT 或250 mg/kg 生育三烯酚基抗氧化剂。
309.本条目适用于主要由硝酸铵和燃料的混合物组成的未敏化乳胶、悬浮体和凝胶,用于在使用前经 过进一步加工后生产 E 型爆破炸药。
乳胶混合物一般含有下列成分:60%~85%硝酸铵,5%~30%水,2%~8%燃料,0.5%~4%乳化 剂,0%~10%可溶防燃剂和微量添加剂。其他无机硝酸盐可取代部分硝酸铵。
悬浮体和凝胶混合物一般含有下列成分:60%~85%硝酸铵,0%~5%高氯酸钠或高氯酸钾,0%~ 17%硝酸六亚甲基四胺(乌洛托品)或硝酸-甲胺,5%~30%水,2%~15%燃料,0.5%~4%稠化剂,0%~10%可溶防燃剂和微量添加剂。其他无机硝酸盐可取代部分硝酸铵。
物质应通过《试验和标准手册》第一部分18中的试验系列8的“硝酸铵乳胶、悬浮体或凝胶,爆破炸 药的中间体(ANE)” 的标准,并得到有关主管部门的批准。
310.不超过100个电池的生产批次里的电池,或为试验而运输的电池的预生产原型,应符合 GB 6944—2025中5.9.4的规定,但5.9.4a)、e)7)、f)3) (如适用)、f)4)(如适用)和g)除外。
注:“为试验而运输”包括但不限于《试验和标准手册》第三部分38.3中的集成测试和产品性能测试中描述的测试。 如适用,这些电池应按照《规章范本》包装指南 P910 或 LP905 进行包装。
这些物品(UN 3537、UN 3538、UN 3540、UN 3541、UN 3546、UN 3547或 UN 3548)可包含此类电 池,前提是符合《规章范本》包装指南 P006 或 LP03 的适用部分。
运输单据应包括以下说明:“按照特殊规定310运输”。
损坏或残次品电池,或装在设备上的电池,应按特殊规定376运输。
为处理或回收目的运输电池,或装在设备上的电池,可按特殊规定377和《规章范本》包装指南 P909包装。
311.本条目下的物质非经有关主管部门根据《试验和标准手册》第一部分相关试验的结果予以批准,不 得运输。包装应确保稀释液的百分比在运输过程中的任何时刻都不低于有关主管部门批准时规定的 水平。
314. a) 这些物质有可能在较高的温度下发热分解。产生分解的原因可能是热或有杂质[如金属粉末 (铁、锰、钴、镁)及其化合物];
b)在运输过程中,这些物质应避免直接日照和一切热源,并应置于良好通风的场所。
315.本条目不应用于符合 GB 6944—2025规定的6.1项包装类别 I 吸入毒性标准的物质。
316.本条目只适用于以非易碎片剂的形式运输的干次氯酸钙。
317.“例外的易裂变”只适用于根据《规章范本》2.7.2.3.5作为例外的易裂变材料或装有易裂变材料的 包装件。
318.正式运输名称应附带技术名称。技术名称无须在包装件上写明。如对运输的感染性物质尚不了 解,但怀疑可能符合列入 A 类的标准,划为 UN 2814或 UN 2900,应在运输单据上正式运输名称之后 在括号内注明“怀疑为 A 类感染性物质”,但无须在集合包装上注明。感染性物质示例见附录 E。
319.根据《规章范本》包装指南 P650 包装和标记的物质,不受本文件的其他要求限制。
321.应始终认为储存系统载有氢。
322.以非易碎的片状运输时,货物可划入包装类别Ⅲ。
324.本条目物质在浓度不大于99%时需加稳定剂。
325.如果是非易裂变或例外的易裂变六氟化铀,则应划入 UN 2978。
326.如果是易裂变六氟化铀,则应划入 UN 2977。
327.为再加工或处理目的按照《规章范本》5.4.1.4.3(c) 托运的废弃气雾剂和废弃的蓄气筒,可酌情按 UN 1950或 UN 2037运输。无须为这类废弃气雾剂安置防止移动和意外释放的保护装置,但应采取措 施,防止压力升高造成危险和在周围空气中形成危险。废弃的气雾剂(渗漏或严重变形者除外),应按照 《规章范本》包装指南 P207 和特殊规定PP87, 或《规章范本》包装指南 LP200 和特殊包装规定 L2予以 包装。废弃的蓄气筒,渗漏或严重变形者除外,应按照《规章范本》包装指南 P003 和特殊包装规定 PP17 和 PP96, 或《规章范本》包装指南 LP200 和特殊包装规定 L2 予以包装。渗漏或严重变形的气雾剂和蓄 气筒,应装在救助压力贮器或救助包装内运输,且应采取适当措施,确保不会出现压力升高造成危险。 废弃气雾剂和废弃的蓄气筒不应装在密封的货运集装箱中运输。
废弃的蓄气筒,如灌有2.2项的气体,并已被刺穿,则不适用于本文件。
328.本条目适用于燃料电池盒,包括安装在设备上的和与设备包装在一起的燃料电池盒。装在燃料电 池系统中的或作为燃料电池系统组成部分的燃料电池盒,均视为装在设备上的燃料电池盒。燃料电池盒,系指储存燃料、通过阀门控制向燃料电池释放燃料的物品。燃料电池盒,包括安装在设备上的燃料 电池,其设计和制造,应能够防止在正常运输条件下的燃料泄漏。
使用液体燃料的燃料电池盒,其设计类型应通过100 kPa(表压)的内部压力试验,而不发生泄漏。
含有金属氢化物的燃料电池盒,应符合特殊规定339。其他燃料电池盒的设计类型都应表明在最 有可能造成装载系统破坏的方向上,通过在坚硬表面上进行的1.2m 跌落试验而无内装物外漏。
包含在燃料电池系统内的锂金属、锂离子或钠离子电池,应按照本条目,并按相应的 UN 3091包含 在设备中的锂金属电池、 UN 3481包含在设备中的锂离子电池或 UN 3552包含在设备中的钠离子电池 的要求交运。
331.符合GB 6944—2025的危害环境物质(水生环境),应外加《规章范本》5.2.1.6和5.3.2.3规定的 标 记 。
332.六水硝酸镁不受本文件限制。
333.用于火花点火式发动机(如汽车、固定发动机和其他发动机)的各种醇与汽油的混合物,无论其挥 发性如何,均应划入本条目。
334.燃料电池盒可含有活化剂,但应装有两个独立的装置,防止运输过程中与燃料意外混合。
335.不受本文件限制的固体和有环境危险的液体或固体的混合物,应划入 UN 3077,可在本条目下运 输,条件是在装载物质时,在封闭容器或运输装置后,表面无自由液体。作为散装容器使用时,每个货物 运输装置应防漏。如果在装载混合物时,在封闭容器或货物运输装置后,表面自由液体可见,该混合物 应划为 UN 3082。装载有环境危险的液体,容量小于10 mL,用固体物质吸收,包裹或物品表面无自由 液体,或装载有环境危险的固体小于10g 的密封小包裹和物品,不受本文件限制。
336.装有不可燃固态Ⅱ类低比活度物质(LSA-Ⅱ) 或Ⅲ类低比活度物质(LSA-Ⅲ) 的单个包装件,空运 时放射性活度不得大于3000 A₂。
337.B(U)型 和 B(M) 型包装件,空运时所含的放射性强度不得大于下述规定的数值:
a)对于低弥散放射性物质:批准证书规定的包装件设计允许值;
b)对于特殊形式放射性物质:3000 A₁或100000 A₂, 其中较低者;
c)对于所有其他放射性物质:3000 A₂。
338.按设计装有可燃液化气体、在本条目下运输的每个燃料电池盒,应满足下列条件:
a)能够在55℃条件下,承受至少两倍于内装物平衡压力的压力,而不发生泄漏或破裂;
b)装载的可燃液化气体不超过200 mL 蒸气压力在55℃时不超过1000 kPa;
c)通过《规章范本》6.2.4.1中所述的热水槽试验。
339.在本条目下运输的含有金属氢的燃料电池盒,其水容量应小于或等于120 mL。
燃料电池盒内的压力,在55℃时不得超过5 MPa。 设计类型应能够承受55℃时两倍于燃料盒设 计压力的压力,或55℃时高于燃料盒设计压力200 kPa的压力,取二者中之较高者。进行该试验所需 的压力,参见“跌落试验”和“氢循环试验”中的“最低瓶体爆裂压力”。
填装燃料电池盒,应按照制造商规定的程序进行。制造商应为每一个燃料电池盒提供以下信息:
a)在第一次填装和重装燃料电池盒之前的检查程序;
b)应了解的安全注意事项和可能的危险;
c)确定何时达到额定容量的方法;
d)最低和最高压力范围;
e)最低和最高温度范围;
f)第一次填装和重装应满足的所有其他要求,包括第一次填装和重装应使用的设备类型。
燃料电池盒的设计和制造,应防止在正常运输条件下的燃料泄漏。每种燃料盒的设计类型,包括作 为燃料电池一部分的燃料盒,应接受并通过以下试验:
跌落试验:在4个不同方向从1 .8m 高度向坚硬表面的跌落试验:
a)垂直方向,在装有封闭阀门装置的一端;
b)垂直方向,在装有封闭阀门装置反面的一端;
c)水平方向,向一个直径38 mm 的钢制尖端体,钢制尖端体位置向上;
d)从45°,在装有封闭阀门装置的一端。
在电池盒装至其额定充装压力时,在所有可能发生泄漏的位置,使用肥皂泡溶液或以其他等效方法 检查,不得有泄漏。随后,对燃料电池盒进行静水加压,直至破坏。记录的爆裂压力,应高于最低瓶体爆 裂压力的85%。
耐火试验:燃料电池盒在装入的氢达到额定容量后,应通过耐火试验。电池盒的设计,本身可包括一个排放装 置。如出现以下结果之一,可认为电池盒已通过耐火试验:
a)内部压力排空到零表压,电池盒未出现破裂;
b)电池盒耐火至少20 min,未出现破裂。
氢循环试验:本试验目的是保证在使用过程中不会超出燃料电池盒的设计应力极限。
燃料电池盒应循环充装,从不超过额定氢容量的5%,到不少于额定氢容量的95%,再减到额定氢 容量的不超过5%。充装时应使用额定的充装压力,温度保持在作业温度范围。循环充装应持续进 行,至少达到100个循环。
循环试验之后,燃料电池盒应当充满,并测量电池盒显示的水容量。如果经过循环测试的电池盒所 显示的水容量不超过未经过循环试验的电池盒充装到额定容量95%、压力加到最低瓶体爆裂压力的 75%时所显示的水容量,则可认为电池盒的设计已通过氢循环试验。
产品的防漏试验:每个燃料电池盒都应在15℃±5℃、压力达到额定负载压力的条件下接受防漏试验。通过使用肥 皂泡溶液或其他等效方法对所有可能的泄漏位置进行测定,不得有泄漏。
每个燃料电池盒应将以下信息作永久标记:
a)以 MPa 表示的额定负载压力;
b)制造商的燃料电池序列编号,或唯一的识别码;
c)根据最长使用寿命确定的日期(年份四位数、月份两位数)。
340.化学品箱、急救箱和聚酯树脂箱,在内容器中装有危险货物,但数量不超过危险货物品名表第(9) 栏中对具体物质规定的例外数量限值,可按例外数量包装的危险货物规定运输。5.2项的物质,虽然在 危险货物品名表中没有作为单项来规定准许运输的例外数量,但可在这类化学品箱和急救箱中运输,划 定编码 E2。
341.使 用 BK1 和 BK2 散装容器对感染性物质进行散货运输,只允许运输动物材料中的感染性物质 (见《规章范本》4.3.2.4.1)。
342.只在消毒装置中使用的玻璃内贮器(如安瓿或小盒),当每个内包装盛装的环氧乙烷少于30 mL、 每个外包装不多于300mL 时,尽管危险货物品名表“例外数量” 一栏规定为“EO”,在满足以下条件 时,仍可按例外数量包装的危险货物规定运输:
a)充装后,每个玻璃内贮器确定无泄漏:将玻璃内贮器放入热水槽中,温度和时间足以保证达到 内部压力等于环氧乙烷在55℃时的蒸气压力。任何玻璃内贮器在此项试验中显示泄漏、变形 或其他缺陷,均不得按本项特殊规定的条件运输;
b)除《规章范本》3.5.2要求的包装外,每个玻璃内贮器均应放在一个密封的对环氧乙烷稳定的塑 料袋中,塑料袋能够在环氧乙烷发生破裂或泄漏时承载内装物;
c)每个玻璃内贮器均有在万一容器发生损坏的情况下(如挤压)防止塑料袋被刺破的保护措施 (如外套或衬垫)。
343.本条适用于含硫化氢的原油,其硫化氢含量足以造成从原油中散发出的气体可引起吸入危险。划 定包装类别应根据所呈现的危险程度,按易燃危险和吸入性危险确定。
344.应符合《规章范本》6.2.4的规定。
345.装入开放式低温贮器的气体,低温贮器的最大容量为1 L,双层玻璃构造,内层和外层之间抽空 (真空绝热),此种气体不受本文件限制,条件是每个贮器均放在有适当衬垫或吸收材料的外容器中运 输,可保护低温贮器不受碰撞损坏。
346.开放式低温贮器,符合《规章范本》包装规范 P203 的要求,除 UN 1977冷冻液态氮外未盛载其他 危险货物,且冷冻液态氮可完全被多孔材料吸收,此种低温贮器不再受本文件其他要求的限制。
347.本条只适用于一种情况,即《试验和标准手册》第一部分试验系列6(d) 的结果显示,运输中发生的 任何危险效应均局限于包装件内。
348.2011年12月31日后生产的锂电池和2025年12月31日以后生产的钠离子电池,应在外壳上标 记瓦特小时额定值。
349.次氯酸盐与铵盐的混合物禁止运输。 UN 1791次氯酸盐溶液属第8类危险货物。
350.溴酸铵及其水溶液,以及溴酸盐与铵盐的混合物禁止运输。
351.氯酸铵及其水溶液,以及氯酸盐与铵盐的混合物禁止运输。
352.亚氯酸铵及其水溶液,以及亚氯酸盐与铵盐的混合物禁止运输。
353.高锰酸铵及其水溶液,以及高锰酸与铵盐的混合物禁止运输。
354.这种物质属吸入毒性。
355.本条目下运输的紧急情况下使用的氧气瓶,可包括安装好的动力装置用弹药筒(1.4项的动力装 置用弹药筒,配装组 C 或配装组 S), 无须改变2.2项的分类,条件是每个氧气瓶的爆燃(推进)炸药总量 不超过3 .2g。 准备运输的装有起动弹药筒的氧气瓶,应有防止意外启动的有效装置。
356.安装在车辆、船舶、机器、发动机或飞行器上,或安装在完整部件中的、准备装在车辆、船舶、机器、 发动机或飞行器上的金属氢化物储存系统,应事先得到有关主管部门的批准,方可接受运输。运输单据 应包括说明,包装件已得到有关主管部门的批准,或每批托运货物随附一份有关主管部门的批文。
357.若原油含有硫化氢,且含量足以造成从原油中散发出的气体可造成吸入危险的,应按“UN 3494,含硫原油,易燃,毒性”条目托运。
358.硝化甘油醇溶液,含硝化甘油超过1%但不大于5%,可划为第3类,UN 3064,但应该符合《规章 范本》包装指南P300 的所有要求。
359.硝化甘油醇溶液,含硝化甘油超过1%但不大于5%,如不符合《规章范本》包装指南 P300 的所有 要求,应划为第1类,UN 0144。
360.完全以锂金属、锂离子或钠离子电池为动力的车辆,应根据情况归入 UN 3556以锂离子电池为动 力的车辆,或 UN 3557以锂金属电池为动力的车辆,或 UN 3558以钠离子电池为动力的车辆。安装在 货物运输装置上的锂电池,设计上仅用作该货物运输装置外接电源的,应归入"UN 3536装在货物运输 装置中的锂电池”。
361.本条目适用于储能量大于0.3 Wh 的双电层电容器。储能量为0.3 Wh 或以下的双电层电容器不 受本文件限制。储能量是指以标称电压和电容量计算所得的电容器储存能量。所有适用于本条目的电 容器,包括不符合任何危险货物类别或项别分类标准的含有一种电解质的电容器,都应该符合以下 标 准 。
a)非安装在设备上的电容器,应该在未充电的状态下运输。安装在设备上的电容器,或在未充电 状态下运输,或采取防止短路的保护措施。
b)每个电容器都应采取以下保护措施,防止在运输过程中可能发生短路的危害:
1)当电容器的储能量小于或等于10Wh 时,或当一个模块里的每个电容器的储能量小于或 等 于 1 0Wh 时,电容器或模块应该采取防止短路的保护措施,或以金属带连接两极;
2)当单独的电容器或一个模块里的每个电容器的储能量大于10 Wh 时,电容器或模块应该 以金属带连接两极;
c)含有危险货物的电容器,在设计上应该能够承受95 kPa的压力差;
d)电容器的设计和制造应该能够通过一个排气孔或电容器外壳上的一个弱点安全释放使用过程 中可能形成的压力。排气时释放出来的任何液体,应该保持在容器内或安装电容器的设备内;
e)2013 年12月31日以后生产的电容器,蓄能量应该使用 Wh 标记。
含有一种电解质但不符合危险货物任何类别或项别之分类标准的电容器,包括安装在设备上的电 容器,不受本文件其他规定的限制。
含有一种电解质、符合危险货物任何类别或项别分类标准的电容器,储能量小于或等于10 Wh 者,如在不加包装的情况下,能够在坚硬表面上承受1.2m 的跌落试验而无内装物损失,不受本文件其 他规定的限制。
含有一种电解质、符合危险货物任何类别或项别之分类标准的电容器,没有安装在设备上,储能量 大 于 1 0Wh, 应受本文件的限制。
安装在设备上并含有一种电解质,并符合危险货物任何类别或项别之分类标准的电容器,不受《规 章范本》其他规定的限制,条件是设备应该包装在坚固的外包装中,外包装以适当材料制造,对包装的指 定用途而言有足够的强度和适当的设计,可防止运输过程中电容器意外工作。带电容器的大型、牢靠设 备,如装载电容器的设备已经为之提供了同等安全的保护,可在不加包装的情况下提交运输,或放在托 盘上运输。
注:设计上保持一端电压的电容器(如不对称电容器),不在本条目范围之内。
362.本条目适用于符合GB 6944—2025中气体定义、由推进剂加压的液体、糊状物或粉末。
注:气雾剂中加压的化学品,按UN 1950运输。
应该适用以下规定。
a)加压化学品的分类,应根据各种成分在不同状态下的危害特点:
一推进剂;
一液态;
一固态。
如果这些成分中的一个成分(可以是一种纯净物质,也可以是混合物)须按易燃分类,则加压化 学品按2.1项划为易燃气体。易燃成分是符合以下标准的易燃液体和液体混合物、易燃固体 和固体混合物,或易燃气体和气体混合物:
一易燃液体是闪点不高于93℃的液体;
一易燃固体是符合 GB 6944—2025中4.1项易燃固体标准的固体;
一易燃气体是符合 GB 6944—2025中2.1项易燃气体标准的气体;
b)2.3 项的气体和有5.1项次要危险性的气体,不得在加压化学品中用作推进剂;
c)如液体或固体成分的分类是6.1项、包装类别Ⅱ或包装类别Ⅲ,或第8类、包装类别Ⅱ或包装 类别Ⅲ的危险货物,加压化学品应附加6.1项或第8类的次要危险性,并给予相应的联合国编 号。成分的分类是6.1项、包装类别 I, 或第8类、包装类别 I 的液体或固体,不应在本条目正 式运输名称下运输;
d加压的化学品,成分符合以下属性者,不得使用本条目正式运输名称运输:第1类,爆炸品;第 3类,液态退敏爆炸物;4.1项,自反应物质和固态退敏爆炸物;4.2项,易于自燃的物质;4.3项,遇水放出易燃气体的物质;5.1项,氧化性物质;5.2项,有机过氧化物;6.2项,感染性物 质;或第7类,放射性材料。
e)在危险货物品名表第(11)栏或第(13)栏中规定有 PP86 或 TP7 的物质,要求排净蒸气空间的 空气,不应使用本条目的联合国编号运输,而应在危险货物品名表中其相应的联合国编号下 运输。
363.本条目仅可用于符合本项特殊规定条件的情况。本文件其他要求均不适用。
a)本条目适用于燃料动力发动机或机器,其燃料分类属于危险货物,用于内燃系统或燃料系统 (例如内燃机、发电机、压缩机、涡轮机、加热单元等),划为 UN 3166或 UN 3363者除外。
b)已经排空液体或气体燃料的发动机或机器,且不含其他危险货物,不受本文件限制。
注1:当液体燃料箱已被排干,发动机或机器由于燃料不足而无法操作时,则认为发动机或机器已无液体燃料。发 动机或机器的部件,如燃料导管、燃油滤清器和喷嘴等,无须清洁、排干或净化方可认为排空液体燃料。此外,无须对液体燃料箱进行清洁或净化。
注2:当气体燃料箱内已无液体(对液化气而言),箱内的正压力不超过2 bar,燃料截止阀或隔离阀已经关闭并紧固 后,便可认为发动机或机器已清空气体燃料。
c)装有燃料的发动机和机器,所装燃料达到第3类分类标准,应根据情况按 UN 3528易燃液体 动力内燃机或 UN 3528 易燃液体燃料电池动力发动机,或按 UN 3528易燃液体动力内燃机 机械或UN 3528易燃液体燃料电池动力机械交运。
d)装有燃料的发动机和机器,所装燃料达到2.1项的分类标准,应根据情况按 UN 3529易燃气 体动力内燃机或 UN 3529易燃气体燃料电池动力发动机,或按 UN 3529易燃气体动力内燃 机机械或UN 3529易燃气体燃料电池动力机械交运。
以易燃气体和易燃液体为动力的发动机和机器,应在相应的 UN 3529下运输。
e)装有液体燃料的发动机和机器,所装燃料达到 GB 6944—2025中危害环境物质的分类标 准,但未达到任何其他类别或项别的分类标准,应根据情况,按 UN 3530 内燃机或 UN 3530 内燃机机械交运。
f)发动机或机器上除燃料外可能还有其他危险物品(如电池、灭火器、压缩空气蓄能器和安全装 置等),为发动机或机器的运行和安全操作所必需,除非《规章范本》另有规定,否则这些其他危 险物品无须满足任何其他要求。然而,锂电池应符合GB 6944—2025中5.9.4的规定,但不超 过100个电池的生产批次里的电池或为试验而运输的电池的预生产原型装在机器或发动机内 时,应符合GB 6944—2025中5.9.4的规定,但5.9.4a)、e)7)、f)3)(如适用)、f)4)(如适用)和g)除外。
安装在机器或发动机上的锂电池,如已经损坏或是残次品,机器或发动机应按照有关主管部门的规 定运输。
g)发动机或机械,包括含有危险货物的封装装置,应该符合有关主管部门规定的制造要求。
h)任何阀门或开口(如排气装置),在运输过程中应该关闭。
i)发动机或机械应取一个能够防止危险物品意外泄漏的方向加以固定,确保能够限制发动机或 机械在运输过程中发生任何移动,改变方向或造成损坏。
j)对于 UN 3528和 UN 3530,如发动机或机械所载的液体燃料超过60L,但容量不超过450 L,应 适用《规章范本》5.2.2的标签规定。如发动机或机械所载的液体燃料超过60 L,且其容量超过
450.L,但不超过3000 L,应按《规章范本》5.2.2中的规定在相对的两侧贴标签。如发动机或 机械所载的液体燃料超过60 L,且其容量超过3000 L,须在相对的两侧挂标牌。标牌应与危 险货物品名表第(4)栏所示的类别或项别相符,并符合《规章范本》5.3.1.2.1所列的规格。
k)对 于UN 3529,如发动机或机械燃料箱的水容量不大于450 L,应适用《规章范本》5.2.2的标 签规定。如发动机或机械燃料箱的水容量大于450 L,但不超过1000 L,应按《规章范本》5.2.2中的规定在相对的两侧贴标签。如发动机或机械燃料箱的水容量大于1000 L,应根据 《规章范本》5.3.1.1.2中的规定,在相对的两侧挂标牌。
I)应该提供《规章范本》5.4中要求的运输单证,UN 3528和 UN 3530除外,这两类货物只在发动 机或机器所载液体燃料超过60 L 的情况下,才应该提供运输单证。这一运输单证还需包含以 下补充说明:“按特殊规定363运输”。
m)应达到《规章范本》包装指南P005 规定的要求。
364.这种物品只能根据以有限数量包装的危险货物的规定运输,条件是有关主管部门确定,提交运输 的包装件能够通过根据《试验和标准手册》第一部分试验系列6(d)所作的试验。
365.批量制造的含有汞或镓的仪器和物品,见 UN 3506或 UN 3554。
366.对于陆运和海运,批量制造的含汞或镓不超过1 kg的仪器和物品,不受本文件限制。空运时,物 品所含汞或镓不超过15 g, 不受本文件限制。
367.在单证和包装件的标记上:
正式运输名称“涂料相关材料”,可用于在同一包装件中既有“涂料”,又有“涂料相关材料”包装件的 托运;
正式运输名称“涂料相关材料,腐蚀性,易燃”,可用于在同一包装件中既有含“涂料,腐蚀性,易燃” 的包装件,又有含“涂料相关材料,腐蚀性,易燃”包装件的托运;
正式运输名称“涂料相关材料,易燃,腐蚀性”,可用于在同一包装件中既有含“涂料,易燃,腐蚀性” 的包装件,又有含“涂料相关材料,易燃,腐蚀性”包装件的托运;
正式运输名称“印刷油墨相关材料”,可用于在同一包装件中既有含“印刷油墨”的包装件,又有含 “印刷油墨相关材料”包装件的托运。
368.非易裂变或例外的易裂变的六氟化铀,材料应按UN 3507或 UN 2978分类。
369.根据《规章范本》2.0.3.2,这种放在例外包装件中带有毒性和腐蚀属性的放射性材料,划为6.1 项一带放射性和腐蚀性次要危险性。
六氟化铀只有在满足《规章范本》2.7.2.4.1.2、2.7.2.4.1.5、2.7.2.4.5.2中的条件,以及2.7.2.3.5中例 外的易裂变材料条件的情况下,方可按本条目分类。
除运输6.1项带腐蚀性次要危险性物质应该适用的各项规定外,还应该适用《规章范本》5.1.3.2、5.1.5.2.2 、5.1.5.4.1(b) 、7.1.8.5.1~7.1.8.5.4 和7.1.8.6.1中的规定。
不要求显示第7类的标签。
370.本条目仅适用于达到以下标准的硝酸铵:
a)硝酸铵,含可燃物质大于0.2%,包括以碳计算的任何有机物质,但不包括任何其他添加物质;
b)含可燃物质不大于0.2%的硝酸铵,包括以碳计算的任何有机物质,但不包括任何其他根据《试 验和标准手册》第一部分试验系列2所作试验结果为阳性的添加物质,另见 UN 1942。
本条目不得用于在危险货物品名表中已有正式运输名称的硝酸铵,包括燃油与硝酸铵的混合物 (ANFO) 或任何商品级的硝酸铵。
371.本条目也适用于含小型配有释放装置压力贮器的物品。这类物品应该符合以下要求:
a)压力贮器的水容量不超过0.5 L,工作压力在15℃时不超过25 bar;
b)压力贮器的最小爆破压力,至少应为15℃时气体压力的4倍;
c)每件物品在制造上应保证在正常装卸、包装、运输和使用条件下避免意外起火或泄漏。可通过 外加联结启动器的锁定装置实现这一目的;
d)每件物品在制造上应保证能够防止压力贮器或压力贮器的部件发生危害性迸射;
e)每件压力贮器制造使用的材料应不得在断裂时破成碎片;
f)物品的设计类型须经过火烧试验。此项试验须适用《试验和标准手册》16.6.1.2(g项除外)、 16.6.1.3.1~16.6.1.3.1.4,16.6.1.3.6 、16.6.1.3.7(b) 和16.6.1.3.8的规定。试验应显示物品可通 过火灼分解型密封材料或其他压力释放装置释放压力,且压力贮器不产生碎片,物品或物品的 碎片不会抛射到10m 以外。
g)物品的设计类型应该经过以下试验。使用一个刺激装置启动一个放在包装中间位置的物品。
不得在包装件外部造成危害效应,如包装件破裂、金属碎片或贮器穿透包装等。
制造商应提供设计类型、制造,以及试验和试验结果的技术文件。制造商应采用程序,确保系列生 产的物品质量良好,符合设计类型,并能满足 a)~9)中的要求。制造商应在有关主管部门索要时,提供 上述资料。
372.本条目适用于储能量大于0.3 Wh 的不对称电容器。储能量为0.3 Wh 或以下的双电层电容器不受本文件的限制。
储能量指一个电容器中储存的能量,按式(A.1) 计算:

所有适用本条目的不对称电容器,都应该符合以下条件:
a)电容器或模块应该采取保护措施,防止发生短路;
b)电容器的设计和制造应该能够通过一个排气孔或电容器外壳上的一个薄弱点,安全地释放使 用过程中可能聚集起来的压力。排气时释放出来的任何液体,应该由包装或安装电容器的设 备来阻隔;
c)2015 年12月31日后生产的电容器,蓄能量应该以 Wh表示;
d)含有一种电解质且该电解质符合危险货物任何类别或项别之分类标准的电容器,在设计上应 该能够承受95 kPa的压差。
含有一种电解质但不符合危险货物任何类别或项别之分类标准的电容器,包括配置在模块上或安 装在设备上的电容器,不受《规章范本》其他规定的限制。
含有一种电解质且该电解质符合危险货物任何类别或项别之分类标准的电容器,储能量小于或等 于 2 0Wh, 包括配置在模块上的电容器,如在不加包装的情况下能够在坚硬表面上承受1.2m 的跌落试 验而无内装物损失,则不受《规章范本》其他规定的限制。
含有一种电解质且该电解质符合危险货物任何类别或项别之分类标准的电容器,没有安装在设备 上,储能量大于20Wh,应受《规章范本》的限制。
安装在设备上、含有一种电解质且该电解质符合危险货物任何类别或项别之分类标准的电容器,不 受《规章范本》其他规定的限制,条件是设备应该包装在坚固的外包装中,外包装以适当材料制造,对包 装的指定用途而言有足够的强度和适当的设计,可防止运输过程中电容器意外工作。带电容器的大型、 牢靠设备,如装载电容器的设备已经为之提供了同等安全的保护,可在不加包装的情况下提交运输,或 放在托盘上运输。
注:不论本条目特殊规定如何,含有第8类碱性电解液的镍碳不对称电容器,须按“UN 2795蓄电电池,湿的,装有 碱液”运输。
373.含有不加压的三氟化硼气体的中子辐射探测器,可根据本条目运输,但应该满足以下条件。
a)每个辐射探测器都应该满足以下条件:
1)每个探测器内的压力在20℃时不超过105 kPa绝对值;
2)每个探测器的气体数量不得超过13 g;
3)每个探测器的生产都应该按照注册的质量保证方案进行; 注:采用 ISO 9001:2008可视为满足本项要求。
4)每个中子辐射探测器都应该是钎焊金属陶瓷馈通组件式的金属结构。探测器的最小爆破 压力,根据设计类型的合格试验结果,应为1800kPa;
5)每个探测器均应在充气前做1×10-¹⁰ cm³/s 的密封标准试验。
b)作为单个组件运输的辐射探测器,应按以下方式运输:
1)探测器应包装在密封的塑料衬里中,有足够的吸附剂或吸收材料,可吸附或吸收全部气体 内装物;
2)探测器应包装在坚固的外包装中。完成的包装件应能够承受1.8m 的跌落试验,探测器 无气体内装物泄漏;
3)每件外包装内所有探测器的气体总量不超过52 g.
c)内装探测器的整套中子辐射探测器系统,满足 a) 中的条件,应按以下条件运输:
1)探测器应装在坚固、密封的外壳中;
2)外壳内应有吸附剂或吸收材料,足以吸附或吸收全部气体内装物;
3)整套系统应包装在坚固的外包装中,外包装能够承受1.8m 的跌落试验而无泄漏,除非系 统的外壳另有同等程度的保护。
《规章范本》包装指南 P200 不适用。
运输单证应包括以下说明:“按特殊规定373运输”。
含有不超过1g三氟化硼的中子辐射探测器,包括带玻璃焊接接头的探测器,不受本文件的限 制,但应该满足 a)中的要求,并按 b) 中的要求包装。带有这类探测器的辐射探测系统,不受本文件限 制,但应该按 c)进行包装。
374.本条目只能根据有关主管部门的授权,适用于包装、大型包装或中型散装容器,或其中的一部 分,这些包装或货箱曾经装载过放射性物质以外的危险货物,运输的目的是对之进行销毁、材料的循环 使用和回收,而不是翻修、修理、例行保养、翻新制造和使用,其中的危险货物已经清空,在交付运输时仅 有附着在包装或货箱上的残余危险物。
375.这类物质放在单一包装或放在组合包装中运输,如组合包装中每个单一包装或内包装的净装载 量,液体为5 L或以下,或每个单一包装或内包装的净质量在5 kg或以下,则不受《规章范本》任何其他 规定的限制,但包装应该符合《规章范本》4.1.1.1、4.1.1.2和4.1.1.4~4.1.1.8中的通用规定。
376.确认已经损坏或有缺陷的锂离子、锂金属或钠离子电池,已达不到根据《试验和标准手册》相关规 定所作试验类型的标准,须遵守本条目特殊规定的要求。
对本条目特殊规定而言,这些要求可包括但并不限于:
a)确定在安全方面有缺陷的电池;
b)发现有泄漏或漏气的电池;
c)在运输前无法作出准确判断的电池;
d)存在整体或机械损害的电池。
注:在评估电池是否受损或存在缺陷时,应按照电池或产品制造商提供的安全标准,或者由一位知晓该电池安全特 征的技术专家进行评估或评价。评估或评价可包括但并不限于以下标准:
a)急性危害,如气体、火灾或电解液泄漏;
b)电池的使用或不当使用;
c)外形损坏的迹象,如电池或电池组外壳变形,或者外壳变色;
d)防止外部和内部短路,如电压或绝缘措施;或者
e)电池安全特征的条件;
f)任何内置安全部件,如电池组管理系统的损坏。
电池应根据 UN 3090、UN 3091、UN 3480、UN 3481、UN3551和 UN 3552适用的规定运输,特殊规定第230条和本条目特殊规定另有规定的情况除外。
电池应根据情况,按《规章范本》包装指南 P908 或包装指南 LP904 进行包装。
电池,如检出损坏或是残次品,在正常运输条件下可能迅速解体、发生危险反应、起火或形成危险的 高温,或危险地排放毒性、腐蚀性或易燃气体或蒸气的,应根据情况,按照《规章范本》包装指南 P911 或 包装指南 LP906 进行包装和运输。有关主管部门可授权采用替代包装和/或运输条件。
除正式运输名称外,包装件还应如《规章范本》5.2.1所述标明“损坏/残次品”。
运输单证应包含以下说明:“按照特殊规定376运输”。
根据情况,运输应随附有关主管部门批文。
377.运输待处理或回收的锂离子、锂金属或钠离子电池,以及带有这种电池的设备,不管是否与非锂电 池或非钠电池一起包装,均可按《规章范本》包装指南 P909 进行包装。
这类电池不受第GB 6944—20255.9.4或5.9.5要求的限制。其他免除情况,可按《规章范本》规定 的条件另行作出规定。
包装件应作标记:“准备处理的锂电池”“准备处理的钠离子电池”“准备回收的锂电池”或“准备回收 的锂钠离子电池”。
确定已经损坏或有缺陷的电池,应按特殊规定第376条运输。
378.带有这种气体的辐射探测器,气体装在不可再充装的压力贮器内,未达到《规章范本》6.2的要求 和《规章范本》包装指南P200 的要求,可在本条目下运输,条件是:
a)每个贮器的工作压力不超过50 bar;
b)贮器的容量不超过12 L;
c)每个贮器的最低爆冲压力,在安装减压装置的情况下至少是工作压力的3倍,在未安装减压装 置的情况下至少是工作压力的4倍;
d)每个贮器制造使用的材料在断裂时不会成为碎片;
e)每个探测器的制造都应该在注册的质量保证方案下进行;
注:ISO 9001:2008可用于本目的。
f)探测器放在坚固的外包装中运输。完整的包装件应该能够承受1.2m 的跌落试验,探测器不 破裂或外包装无断裂。带有探测器的设备,应包装在坚固的外包装内,除非装有探测器的设备 已为探测器采取了同等程度的保护;和g)运输单证应包括以下说明:“按特殊规定378运输”。
辐射探测器,包括辐射探测系统中的探测器,如探测器满足上述 a)~f) 的要求,且探测器贮器的容 量不超过50 mL,便不再受《规章范本》任何其他规定的限制。
379.吸附的无水氨或吸收在固体中的无水氨,装在氨配置机上或准备作为这种配置系统一部分的贮器 中,如满足以下条件,即无须受本文件其他规定的限制:
a)吸附或吸收具有以下属性:
1)贮器内的温度在20℃时,压力小于0.6 bar;
2)贮器内的温度在35℃时,压力小于1bar;
3)贮器内的温度在85℃时,压力小于12 bar;
b)吸附或吸收材料不得具有第1类~第8类所列的危险属性;
c)贮器内装物的最大重量为10 kg氨 ;
d)装有吸附或吸收氨的贮器应该满足以下条件:
1)贮器的制作材料应该是与氨匹配的材料(见 ISO 11114-1:2020);
2)贮器及其关闭装置应该密封,并能够容纳所产生的氨;
3)每个贮器应该能够承受85℃时产生的压力,体积膨胀不得大于0.1%;
4)每个贮器应该安有装置,可在压力超过15 bar 时释放气体,而不致发生剧烈的破裂、爆炸 或喷射;
5)每个贮器都应该能够在减压装置停止工作的情况下承受20 bar的压力而不出现泄漏。
与氨配置机一起运输的贮器,与配置机的连接应该保证整体装配具有与单一贮器同样的强度。
本特殊规定中提及的机械强度的属性应该应经过试验,使用贮器和/或配置机样型,装载至额定容 量,然后增加温度直至达到规定压力。
试验结果应该记录存档,可随时查阅,并在有关主管部门要求时提供。
382.聚合物珠粒可以是聚苯乙烯、聚甲基丙烯酸甲酯或其他聚合材料制成。如果能够证明,根据《试验 和标准手册》第三部分38.4.4的试验 U1(可形成易燃蒸气物质的试验方法),不会形成易燃蒸气,造成 易燃环境,可膨胀的聚合物珠粒无须在本条目下分类。只有在需要取消对物质分类的情况下,才应进行 这项试验。
383.赛璐珞材质的乒乓球,如每个乒乓球的净重不超过3.0 g, 每个包装件中所有乒乓球的总净质量不 超过500 g,不受本文件限制。
384.使用的标签应是9A号式样,见《规章范本》5.2.2.2.2。但是货物运输装置的标牌应该与9号式样 一致。
386.当通过控制温度对物质进行稳定时,需适用《规章范本》7.1.5的规定。当使用化学方法进行稳定 时,提交包装、中型散装容器和罐柜运输的人应该确保充分的稳定水平,防止包装、中型载货箱和罐柜中 的物质在散货的平均温度达到50℃时,或在可移动罐柜的情况下达到45℃时,发生危险的聚合反应。 若化学稳定剂在预计的运输期间由于温度较低而可能失效,还应该采用温度控制。在做出这项决定 时,应注意的因素包括但并不限于:包装、中型散装容器和罐体的容积和几何形状,任何绝缘措施的效 果,物质在提交运输时的温度,旅途的长短和途中遇到的典型的环境温度条件(应注意季节因素),使用 的稳定剂的效果和其他属性,适用的管理规定要求的作业控制(如保护不受热源影响的要求,包括在高 于环境温度下运输的其他货物)和所有其他相关因素。
387.含有锂金属原电池和可充电锂离子电池的锂电池,符合 GB 6944—20252.9.4(f)中的规定,应根 据情况划为 UN 3090或 UN 3091。按照特殊规定188运输这类电池,电池芯所含全部锂金属电池的合 计锂含量不得超过1.5 g,电池组所含全部锂离子电池的合计容量不得超过10Wh。
388.UN 3166各条目,适用于易燃液体或气体内燃机或燃料电池动力车辆。
燃料电池动力车辆应根据情况归入 UN 3166易燃气体燃料电池动力车辆,或 UN 3166易燃液体 燃料电池动力车辆的条目。这些条目包含以燃料电池和内燃机共同提供动力的、带有湿电池、钠电池、 锂金属电池或锂离子电池的混合动力电动车辆,运输时装有电池。
其他内燃机车辆应根据情况归入 UN 3166易燃气体动力车辆或 UN 3166易燃液体动力车辆的条 目。这些条目包含以内燃机和湿电池、钠电池、锂金属电池或锂离子电池共同提供动力的混合动力电动 车辆,运输时装有电池。
如果车辆以一台易燃液体内燃机和一台易燃气体内燃机提供动力,应划为 UN 3166易燃气体动力 车辆。
条目 UN 3171仅适用于装有电池的以湿电池、钠金属电池或钠合金电池驱动的车辆或设备的 运输。
UN 3556锂离子电池驱动的车辆、 UN 3557锂金属电池驱动的车辆和 UN 3558钠离子电池驱动 的车辆适用于安装有电池的锂离子、锂金属或钠离子电池驱动的车辆的运输。
对本项特殊规定而言,车辆是自推进式装置,用于运载一人或多人,或用于运载货物。这类车辆的 例子有汽车、摩托车、轻骑、三轮和四轮车辆,或摩托车、卡车、机车、自行车(带马达的脚踏车)和其他这 类车辆(如自平衡车辆或未设置至少一个座位的车辆)、轮椅、剪草机、自推进式农用和建筑设备、船舶和 飞机。这里面包括在包装中运输的车辆。当车辆在包装里进行运输时,车辆的部分零件(除电池外)可 以与它的主体框架分离来装进包装中。
所指设备的例子有剪草机、清洁机、船舶模型或飞机模型。以锂金属电池或锂离子电池为动力的设 备,应根据情况分别归入以下条目:UN 3091包含在设备中的锂金属电池,或 UN 3091与设备包装在一起的锂金属电池,或 UN 3481包含在设备中的锂离子电池,或 UN 3481与设备包装在一起的锂离子电 池。安装在货物运输装置上的锂离子电池或锂金属电池,设计上仅用作该货物运输装置外接电源的,应 归入条目 UN 3536装在货物运输装置中的锂电池。
一些危险货物,如电池、气囊、灭火器、压缩空气蓄能器、安全装置和车辆的其他重要组成部件,是车 辆操作或为操作员或乘员安全所必需,应牢靠地安装在车辆上,不再另受本文件限制。然而,锂电池应 符合 GB 6944—2025中5.9.4的规定,但不超过100个电池的生产批次里的电池或为试验而运输的电 池的预生产原型装在车辆或设备内时,GB 6944—2025 中5 .9 .4a) 、e)(7) 、f)(3) (如适用)、f)(4) (如适 用)和g)则不适用。安装在车辆或设备上的锂电池,如电池损坏或是残次品,车辆或设备应按照有关主 管部门的规定运输。
389.本条目仅适用于安装在货物运输装置内、设计上仅用作该货物运输装置对外供电的锂离子电池或 锂金属电池。锂电池应满足 GB 6944—2025中5.9.4的要求,并带有能防止过度充电和各电池之间过 度放电的必要系统。
电池应该牢靠地固定于货物运输装置的内部结构物(例如设置在托架上或舱室内等),应能在运输 中正常发生的冲击、装卸和震动条件下防止短路、意外启动,以及相对于货物运输装置的较大位移。货 物运输装置安全和正常运行所必要的危险货物(例如灭火系统和空调系统),应牢靠固定或安装在货物 运输装置内,不再另受本文件限制。非货物运输装置安全和正常运行所必需的危险货物,不得装在货物 运输装置内运输。
货物运输装置内的电池没有标志或标签要求。货物运输装置应按照《规章范本》5.3.2.1.2的规定显 示联合国编号,并按照《规章范本》5.3.1.1.2的规定在相对的两侧挂标牌。
390.如果包装件兼有设备所含的锂电池和与设备一起包装的锂电池,以下要求适用于包装件的标记和 单证。
a)包装件应酌情标记 UN 3091与设备包装在一起的锂金属电池或 UN 3481与设备包装在一起 的锂离子电池。如果包装件中既有与设备一起包装,也有设备所含的锂离子电池和锂金属电 池,包装件应按要求将这两种电池类型都标记出来。但安装在设备内的(包括电路板上)的纽 扣电池则不必标记。
b)运输单证应酌情标明 UN 3091与设备包装在一起的锂金属电池或 UN 3481与设备包装在一 起的锂离子电池。如果包装件中既有与设备一起包装,也有设备所含的锂离子电池组和锂金 属电池组,运输单证则应既标示 UN 3091与设备包装在一起的锂金属电池,也标示与设备包 装在一起的锂离子电池。
391.含有2.3项、4.2项、4.3项、5.1项、5.2项或6.1项危险货物,因吸入性毒性物质需用包装类别 I 的 物品,以及具有 GB 6944—2025中4 .3 .3b)、c)或 d) 所列一种以上危害的物品,应按照有关主管部门批 准的条件运输。
392.对于设计并经批准安装在含有燃气的机动车辆上的燃气封装系统的运输,如果运输的目的是准备 处理、回收、修理、检查、保养,或从制造地点运往车辆组装厂,其运输无须适用《规章范本》4.1.4.1和6.2 的规定,但应符合下列条件:
a)燃气封装系统应该根据情况达到车辆燃料箱的标准或条例要求。
注1:适用的标准如 GB/T 24160、GB/T 17258和ISO 15500(系列)等。
按照先前版本相关机动车辆储气罐标准或规范设计和制造的储气罐,只要此种标准或规范在 储气罐设计和制造所涉车辆获得认证时是适用的,仍可交付运输;
b)燃气封装系统应具防漏性,并且不得有任何可能影响安全的外部损伤痕迹;
注2:标准可参考GB/T 24162。
注3:如果燃气封装系统不具防漏性或充气过量,或显现可能影响安全的损坏(例如与安全相关的召回),应该根据 《规章范本》的要求,只能装入救助压力贮器运输。
c)如果燃气封装系统装有两个或更多接续的联机阀门,两个阀门应该关闭,达到正常运输条件下 的气密程度。如果仅存在一个阀门,或仅有一个阀门可用,则除了压力释放装置开口之外的所有其他开口都应该关闭,以达到正常运输条件下的气密程度;
d)燃气封装系统的运输,应该防止在正常运输条件下堵塞压力释放装置,或对燃气封装系统的 阀门及任何其他承压部件造成任何损坏,并应防止气体意外释放。燃气封装系统应该紧固,防 止滑动、滚动或上下移动;
e)阀门应使用《规章范本》4.1.6.1.8(a)~(e)所述方法之一加以保护;
f)燃气封装系统除卸下交付处理、回收、修理、检查或保养之外,充气量应根据情况不超过标定 充气率或标定工作压力的20%;
g)尽管有《规章范本》5.2的规定,如将燃气封装系统装在搬运装置中交付运输,可在搬运装置上 设置标记和标签;
h)尽管有《规章范本》5.4.1.5的规定,关于危险货物总量的信息可改为下列信息:
1)燃气封装系统的数目;
2)在液化气的情况下,每个燃气封装系统的气体总净质量(kg), 在压缩气体的情况下,每个 燃气封装系统的总水容量(L), 并注明标定工作压力。
运输单证中填写的信息示例:
示例1:“UN 1971压缩天然气,2.1,1个燃气封装系统,总量50 L,200 bar”.
示例2:“UN 1965 烃类气体混合物,未另作规定的,2.1,3个燃气封装系统,气体净质量每个15 kg”。
393.硝酸纤维素应符合《试验和标准手册》附录10中的 Bergmann-Junk 试验或甲基紫纸试验的标准。 不需要应用3(c)型试验。
394.硝酸纤维素应符合《试验和标准手册》附录10中 Bergmann-Junk 试验或甲基紫纸试验的标准。
395.本条目用于供处理而运输的 A 类固态医疗废物。
396.尽管《规章范本》有4.1.6.1.5的规定,大型坚固物品仍可与阀门打开的连接气瓶一起运输,前提是:
a)气瓶内装有联合国编号为 UN 1066的氮气、联合国编号为 UN 1956的压缩气体或联合国编号为 UN 1002的压缩空气;
b)气瓶通过调压器和固定接管与物品连接,使物品中的气体压力(表压)不超过35kPa(0.35bar);
c)气瓶已妥善固定,使其不能相对于物品移动,并装有坚固和耐压的软管和接管;
d)在运输过程中使用木箱或以其他适当方式保护气瓶、调压器、接管和其他部件,使其免遭损坏 和撞击;
e)运输单据包括以下说明:“按照特殊规定396运输”;
f)盛装与阀门打开的气瓶一起运输的物品且气瓶中装有一种有窒息风险的气体时,货物运输装 置应保持通风良好,并按照《规章范本》5.5.3.6的规定加贴标记。
397.如不存在其他氧化性气体,按体积计含氧量不小于19.5%且不大于23.5%的氮氧混合物,可在本 条目下运输。只要浓度在这一限度范围内,就不需要贴5.1项次要危险性标签。
398.本条目适用于丁烯混合物、1-丁烯、顺-2-丁烯和反-2-丁烯。对于异丁烯,见 UN 1055。
399.对于符合《规章范本》附录 B 中所述并划入 UN 0511、UN 0512和 UN 0513电子引爆雷管的物 品,电引爆雷管(UN 0030、UN 0255和 UN 0456)可继续使用至2025年6月30日。
400.供运输的设备所载或包装的钠离子电池,如符合下列规定,则不受本文件其他规定的限制:
a)电池短路不含电能,电池的短路应易于验证(例如,端子之间的母线);
b)每个电池符合GB6944—2025 中5.9.5a)、b)、d)、e) 和 f)的规定;
c)每个包装应按照《规章范本》5.2.1.9进行标记;
d)除安装在设备上的电池外,每个包装件以任何方向进行1.2m 跌落试验时都能够不使其中所 装的电池受损,不造成内装物移动,以致电池组与电池组(或电池芯与电池芯)互相接触,并且 没有内装物释出;
e)电池安装在设备上时,应防止损坏。当电池安装在设备上时,设备应用坚实的外包装予以包 装,包装的制造材料应采用足够强度的适当材料,包装的设计也与包装的容量和用途相符,除 非装有电池的设备对电池已有相应的保护;
f)每个电池芯,包括作为电池组部件的电池芯,只能含有按限数量包装的规定运输的危险货 物,其数量不得超过危险货物品名表第(8)栏所规定的数量。
401.含有机电解质的钠离子电池应酌情按 UN 3551或 UN 3552运输。含碱水电解质的钠离子电池 应按UN 2795蓄电电池,湿的,装有碱液运输。
402.根据本条目运输的物质,在70℃时的蒸气压力不得超过1.1 MPa(11bar), 在50℃时的密度不得 低于0.525 kg/L。
403.本条目所涵盖的硝化纤维素滤膜,如果硝化纤维素含量不超过53 g/m², 并且每个内包装的硝化 纤维素净质量不超过300 g,如果它们满足以下条件,则不受本文件限制。
a)每层硝化纤维素滤膜之间装有至少80g/m² 的纸分离器。
b)对硝化纤维素滤膜的包装能使硝化纤维素滤膜与分隔纸在以下任何包装方式中保持对齐:
1)按 照GB/T 1038.1,以紧密卷起的形式包装在至少80 g/m² 的塑料箔或透氧率小于或等 于0. 1%的铝袋中;
2)按照GB/T 1038.1,以多张滤膜包装在至少250 g/m² 纸板或透氧率小于或等于0.1%的 铝袋中;
3)圆形滤膜包装在圆盘托架或最小重量为250g/m² 的纸板包装中,或单片包装在纸和塑料 制作的袋中,袋的合计重量规格最小为100 g/m²。
404.以钠离子电池为动力不含其他危险货物的车辆,如果电池因某种方式短路而不含电能,则不受本 文件其他规定的限制。电池的短路应易于验证(例如,接线端子之间的母线)。
405.如果车辆没有用包装、板条箱或其他妨碍识别的方法完全封闭,则不受《规章范本》5.2的标记或 标签要求的限制。
406.物品在容量不超过1000 mL 的压力容器中运输时,可按照有限数量包装规定进行运输。压力容 器应符合《规章范本》包装指南 P200 的要求,产品试验压力能力不超过15.2 MPa ·L(152bar ·L)。压 力容器不得与其他危险货物一起包装。
407.灭火剂分散装置是含有烟火物质的物品,其目的是在启动时分散灭火剂(或气溶胶),并且不含有 任何其他危险货物。经包装后交运的这些物质,应按照《试验和标准手册》第一部分16中的试验系列6(c) 进行试验并符合1.4S 项的准则。该装置在运输时应拆除激活装置或至少配备两种激活装置独立手 段以防止意外激活。
如果满足以下附加条件,则灭火分散装置应划分为第9类 UN 3559:
a)该装置符合《规章范本》2.1.3.6.4(b) 、(c) 和(d)中的排除标准;
b)根据国际或地区标准(如 NFPA2010), 该灭火剂应被认为对正常使用的空间是安全的;
c)该物品的包装方式应使其在激活时包件外部温度不超过200℃;
d)本条目只有在生产国有关主管部门批准的情况下才能使用。
本条目不适用于特别条款280中所述的“安全装置,电启动”(UN 3268)。
408.本条目仅适用于由水、四甲基氢氧化铵(TMAH) 和不超过1%的其他成分组成的水溶液。其他含 有四甲基氢氧化铵的制剂必须划入适当的类属或未另作规定的条目(例如,UN 2927有机毒性液体,腐 蚀性,未另作规定的等),但以下情况除外:
a)含有表面活性剂浓度高于1%、四甲基氢氧化铵浓度不低于8.75%的其他制剂应划入为 UN 2927有机毒性液体,腐蚀性,未另作规定的,包装类别 I;
b)含有表面活性剂浓度高于1%、四甲基氢氧化铵浓度高于2.38%但低于8.75%的其他制剂应 划入为 UN 2927有机毒性液体,腐蚀性,未另作规定的,包装类别Ⅱ。
409.《规章范本》第22修订版3.2的规定可继续适用至2026年12月31日。
附 录 B
(资料性)
类属或未另作规定的危险货物正式运输名称
B.1 危险货物品名表中未具体列出名称的物质或物品,在表 B.1 中以“类属”或“未另作规定的”条目列 出。这些物质或物品应按照GB 6944—2025和联合国《试验和标准手册》进行分类。在确定其危险性 质后,应使用危险货物品名表中最恰当描述该物质或物品的名称做正式运输名称。
B.2 危险货物品名表中列出的类属或未另作规定的正式运输名称列于表 B.1。 当危险货物品名表第 (7)栏列出条目适用特殊规定274、318时,正式运输名称之外应附加技术名称。
B.3 在表 B.1 中,类属名称和未另作规定的名称都按照其危险的类别或项别归类。在每一类别或项别 内,类属名称和未另作规定的名称分为下列3组:
一特定条目,包括一组具有某一特定化学或技术性质的物质或物品;
一农药条目,第3类和6.1项;
一一般条目,包括一组具有一种或多种一般危险性质的物质或物品。
应使用最明确的适用名称。





















附 录 C
(资料性)
现已划定可用容器装载的自反应物质一览表
现已划定可用容器装载的自反应物质一览表见表 C.1。





附 录 D
(资料性)
现已划定可用容器装载的有机过氧化物一览表
现已划定可用容器装载的有机过氧化物一览表见表 D.1。


















附 录 E
(资料性)
感染性物质示例
表 E.1列出了符合6.2项A 类感染性物质标准的示例。未列入本表的感染性物质但符合6.2项 A 类感染性物质标准的,划入 A 类,包括新的或刚刚出现的病原体;如果对某种物质是否符合标准持有疑 虑,则也归入 A类。本表中楷体书写的微生物为细菌或真菌。不符合列入 A 类标准的感染性物质为 B类感染性物质,划入 UN 3373B类生物物质。


参 考 文 献
[1] GB/T 1038.1 塑料制品 薄膜和薄片 气体透过性试验方法 第1部分:差压法
[2] GB/T 3184 铬酸铅颜料和钼铬酸铅颜料
[3] GB 10631 烟花爆竹 安全与质量
[4] GB/T 17258 汽车用压缩天然气钢瓶
[5] GB/T 24160 车用压缩天然气钢质内胆环向缠绕气瓶
[6] GB/T 24162 汽车用压缩天然气金属内胆纤维环缠绕气瓶定期检验与评定
[7] GB/T 38040 烟花爆竹运输默认分类表
[8] BB/T 0005 气雾剂产品的标示、分类及术语
[9] ISO 8115-1 Cotton bales—Part1:Dimensions and density
[10] ISO 9001:2008 Quality managementsystems—Requirements
[11] ISO 11114-1 Gas cylinders—Compatibility of cylinderand valve materials with gas con- tents—Part1:Metallic materials
[12] ISO 13943 Fire safety—Vocabulary
[13] 危险化学品目录
[14] 民用爆炸物品品名表
[15] 人间传染的病原微生物名录
[16] 国际海运危险货物规则
[17] 危险物品安全航空运输技术细则
[18] 1972年国际集装箱安全公约
[19] 世界卫生组织建议的农药按危险性的分类和分类准则